🇳🇴 🇬🇧 🇩🇪 🇨🇿 🇫🇮

Meteor, poloha: Sande 2015-12-15 16:53:43 UTC

Soubor KML  |  InteraktivnĂ­ mapa

Mapa zobrazuje dráhy meteoru. Světlejší čáry ukazují směry od pozorovacích stanic při objevení se meteoru a tmavší čáry, kde byl naposledy viděn. Modrá šipka značí viditelnou dráhu meteoru.

static map
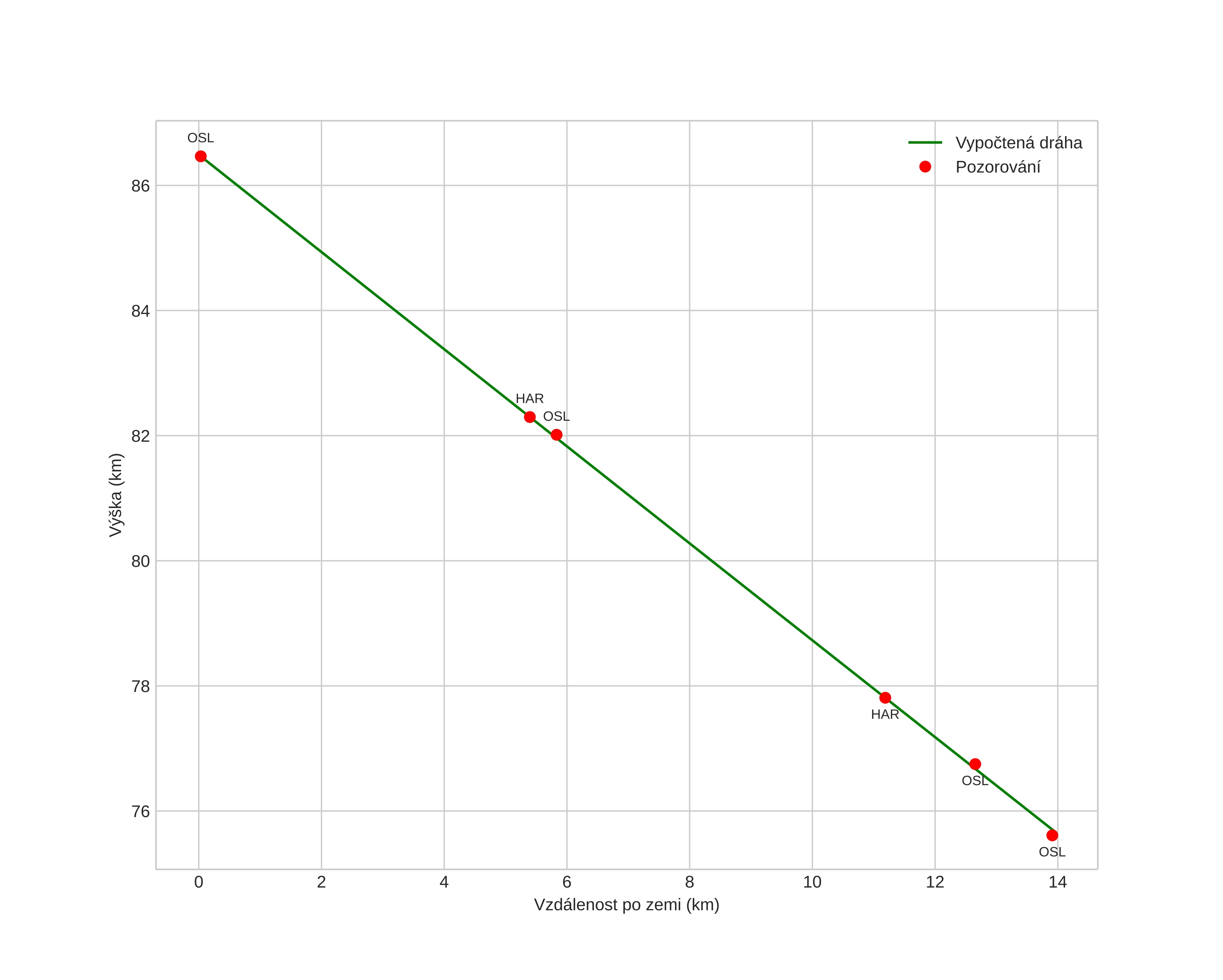
height profile
Atmosférická dráha meteoru:
Počáteční výška: 86,5 km
Konečná výška: 75,7 km
Počáteční poloha: 59,497N 9,919E
Konečná poloha: 59,527N 10,159E
Směr: 75,8°
Sklon: 37,7°
VstupnĂ­ rychlost: 18,3 km/s
Rektascenze radiantu: 19:00 (285,1°)
Deklinace radiantu: 19,7°
MeteorickĂ˝ roj: sporadickĂ˝
Elementy dráhy meteoroidu:
Vzdálenost v periheliu: 0,899 AU
Excentricita: 0,613
Sklon dráhy: 15,7°
Délka vzestupného uzlu: 263,2°
Argument perihelia: 140,5°
Střední anomálie: 8,0°
Epocha: 2015 DEC 15 16:53:43
orbit plot

NeinteraktivnĂ­ graf | InteraktivnĂ­ graf

position vs time
speed and acceleration