🇳🇴 🇬🇧 🇩🇪 🇨🇿 🇫🇮

Meteor Sanden yllä 2015-12-15 16:53:43 UTC

KML-tiedosto  |  Interaktiivinen kartta

Kartta näyttää meteorin suuntahavainnot. Vaaleammat viivat näyttävät suunnat havaintoasemilta meteorin ilmestyessä, ja tummemmat viivat näyttävät, missä se viimeksi nähtiin. Sininen nuoli näyttää meteorin näkyvän lennon.

static map
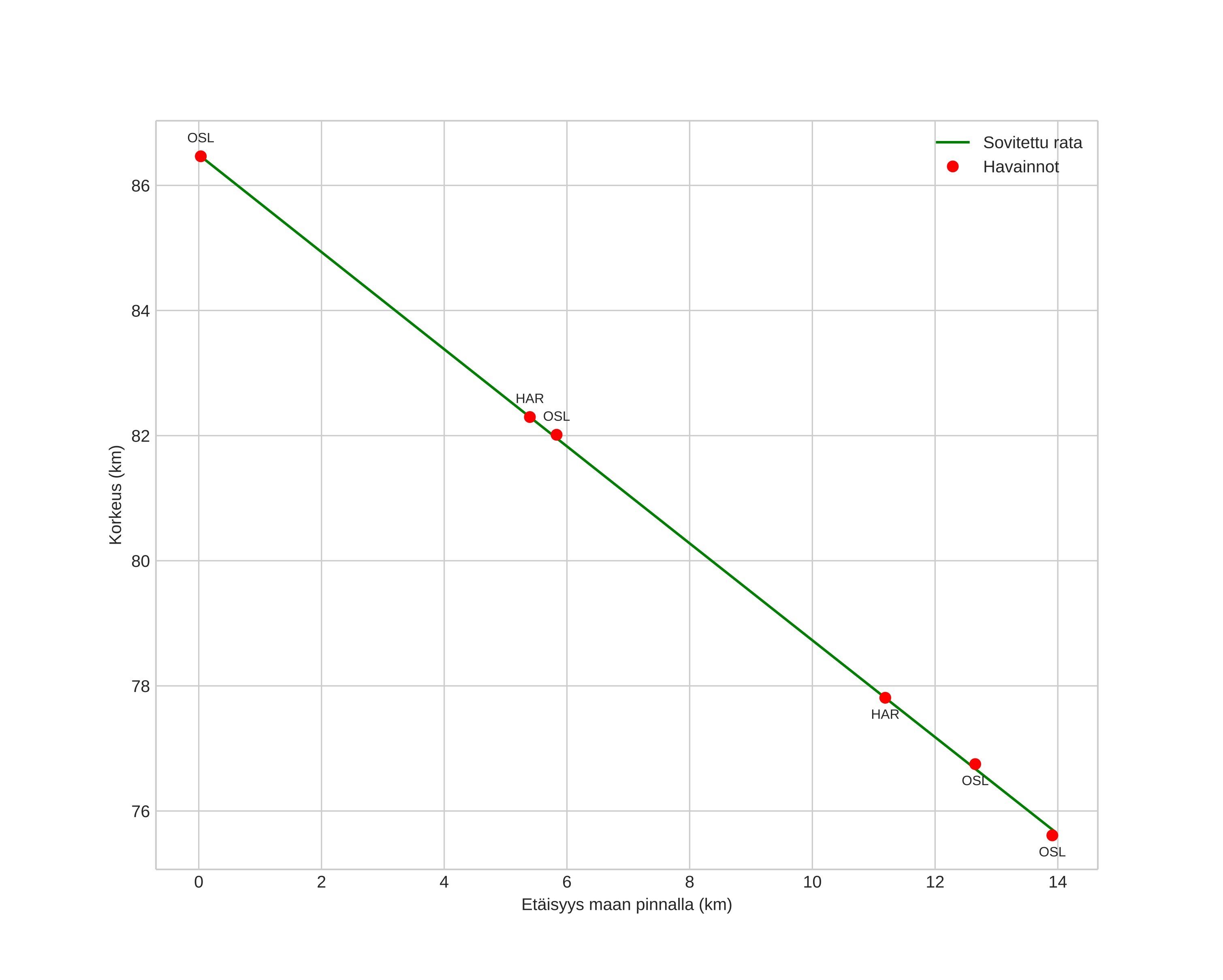
height profile
Meteorin ilmakehärata:
Alkukorkeus: 86,5 km
Loppukorkeus: 75,7 km
Alkupiste: 59,497N 9,919E
Loppupiste: 59,527N 10,159E
Suunta: 75,8°
Kallistuskulma: 37,7°
Tulonopeus: 18,3 km/s
Radiantin R,A,: 19:00 (285,1°)
Radiantin Dekl,: 19,7°
Meteoriparvi: Sporadinen
Meteoroidin rataelementit:
Perihelietäisyys: 0,899 AU
Eksentrisyys: 0,613
Inklinaatio: 15,7°
Nousevan solmun pituus: 263,2°
Perihelin argumentti: 140,5°
Keskianomalia: 8,0°
Epookki: 2015 DEC 15 16:53:43
orbit plot

Ei-interaktiivinen kuvaaja | Interaktiivinen kuvaaja

position vs time
speed and acceleration