🇳🇴 🇬🇧 🇩🇪 🇨🇿 🇫🇮

Meteor über Askim 2015-12-16 04:51:31 UTC

KML-Datei  |  Interaktive Karte

Die Karte zeigt die Peilungen für den Meteor. Die helleren Linien zeigen die Richtungen von den Beobachtungsorten beim Erscheinen des Meteors, und die dunkleren Linien, wo er zuletzt gesehen wurde. Der blaue Pfeil zeigt die sichtbare Bahn des Meteors.

static map
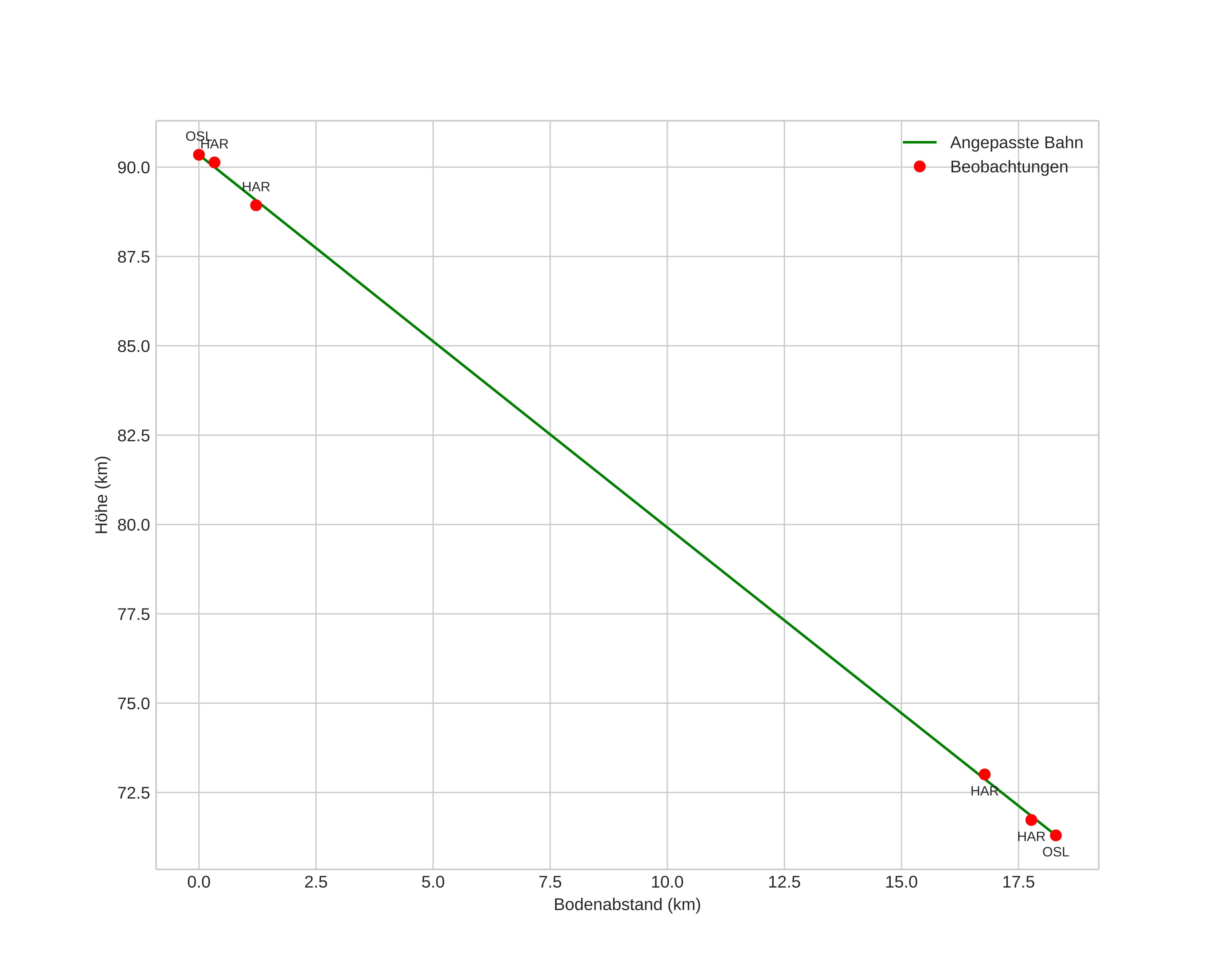
height profile
Atmosphärische Bahn des Meteors:
Anfangshöhe: 90,3 km
Endhöhe: 71,3 km
Startposition: 59,561N 10,916E
Endposition: 59,598N 11,232E
Richtung: 76,8°
Neigungswinkel: 46,1°
Eintrittsgeschwindigkeit: 37,7 km/s
Rektaszension des Radianten: 07:34 (113,7°)
Deklination des Radianten: 31,7°
Meteorstrom: Geminiden
Bahnelemente des Meteoroiden:
Periheldistanz: 0,138 AU
Exzentrizität: 0,917
Inklination: 23,6°
Länge des aufsteigenden Knotens: 263,7°
Argument des Perihels: 322,8°
Mittlere Anomalie: 343,6°
Epoche: 2015 DEC 16 04:51:31
orbit plot

Nicht-interaktives Diagramm | Interaktives Diagramm

position vs time
speed and acceleration