🇳🇴 🇬🇧 🇩🇪 🇨🇿 🇫🇮

Meteor Askimin yllä 2015-12-16 04:51:31 UTC

KML-tiedosto  |  Interaktiivinen kartta

Kartta näyttää meteorin suuntahavainnot. Vaaleammat viivat näyttävät suunnat havaintoasemilta meteorin ilmestyessä, ja tummemmat viivat näyttävät, missä se viimeksi nähtiin. Sininen nuoli näyttää meteorin näkyvän lennon.

static map
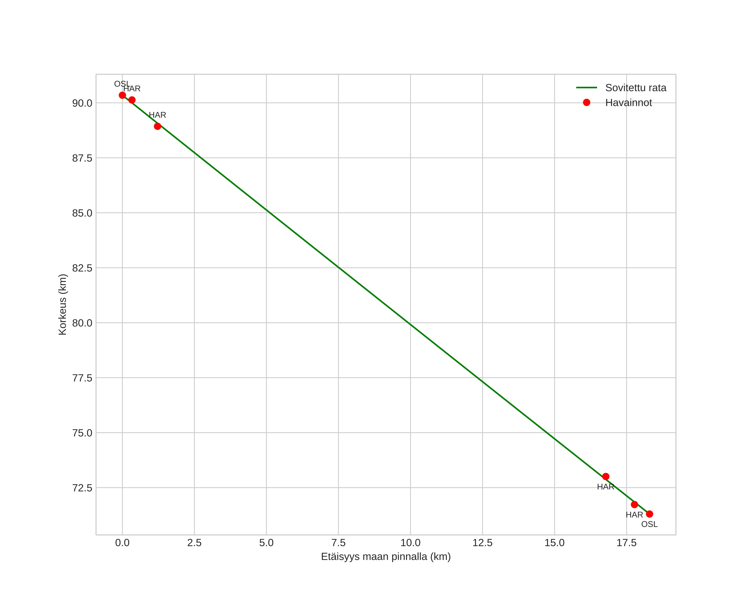
height profile
Meteorin ilmakehärata:
Alkukorkeus: 90,3 km
Loppukorkeus: 71,3 km
Alkupiste: 59,561N 10,916E
Loppupiste: 59,598N 11,232E
Suunta: 76,8°
Kallistuskulma: 46,1°
Tulonopeus: 37,7 km/s
Radiantin R,A,: 07:34 (113,7°)
Radiantin Dekl,: 31,7°
Meteoriparvi: Geminidit
Meteoroidin rataelementit:
Perihelietäisyys: 0,138 AU
Eksentrisyys: 0,917
Inklinaatio: 23,6°
Nousevan solmun pituus: 263,7°
Perihelin argumentti: 322,8°
Keskianomalia: 343,6°
Epookki: 2015 DEC 16 04:51:31
orbit plot

Ei-interaktiivinen kuvaaja | Interaktiivinen kuvaaja

position vs time
speed and acceleration