🇳🇴 🇬🇧 🇩🇪 🇨🇿 🇫🇮

Meteor, poloha: Arvika 2015-12-22 05:13:09 UTC

Soubor KML  |  InteraktivnĂ­ mapa

Mapa zobrazuje dráhy meteoru. Světlejší čáry ukazují směry od pozorovacích stanic při objevení se meteoru a tmavší čáry, kde byl naposledy viděn. Modrá šipka značí viditelnou dráhu meteoru.

static map
height profile
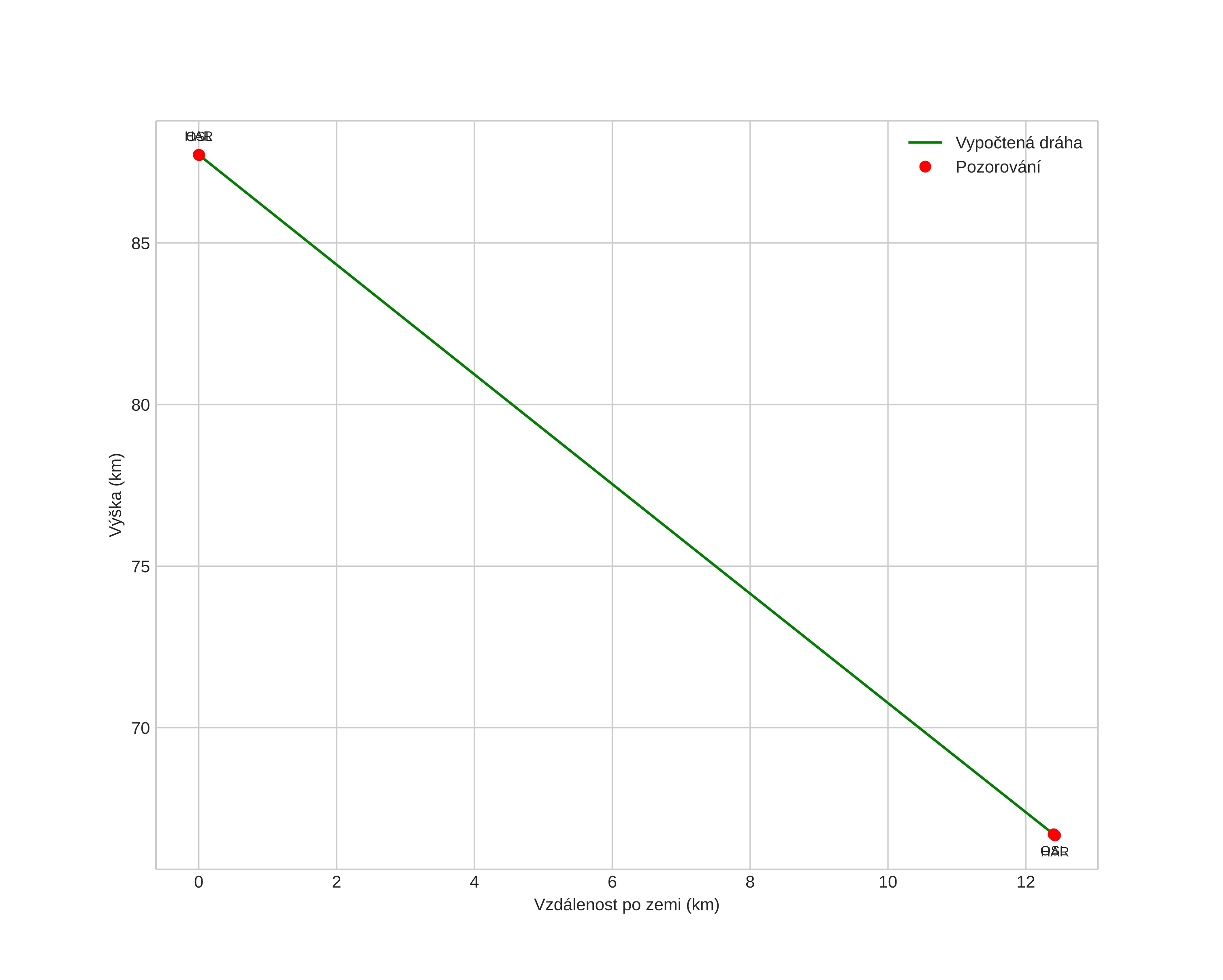
Atmosférická dráha meteoru:
Počáteční výška: 87,7 km
Konečná výška: 66,7 km
Počáteční poloha: 59,580N 12,520E
Konečná poloha: 59,468N 12,528E
Směr: 177,8°
Sklon: 59,4°
VstupnĂ­ rychlost: 30,0 km/s
Rektascenze radiantu: 03:28 (52,2°)
Deklinace radiantu: 87,9°
MeteorickĂ˝ roj: sporadickĂ˝
Elementy dráhy meteoroidu:
Vzdálenost v periheliu: 0,900 AU
Excentricita: 0,926
Sklon dráhy: 39,3°
Délka vzestupného uzlu: 269,8°
Argument perihelia: 214,7°
Střední anomálie: 359,5°
Epocha: 2015 DEC 22 05:13:09
orbit plot

NeinteraktivnĂ­ graf | InteraktivnĂ­ graf

position vs time
speed and acceleration