🇳🇴 🇬🇧 🇩🇪 🇨🇿 🇫🇮

Meteor Arvikan yllä 2015-12-22 05:13:09 UTC

KML-tiedosto  |  Interaktiivinen kartta

Kartta näyttää meteorin suuntahavainnot. Vaaleammat viivat näyttävät suunnat havaintoasemilta meteorin ilmestyessä, ja tummemmat viivat näyttävät, missä se viimeksi nähtiin. Sininen nuoli näyttää meteorin näkyvän lennon.

static map
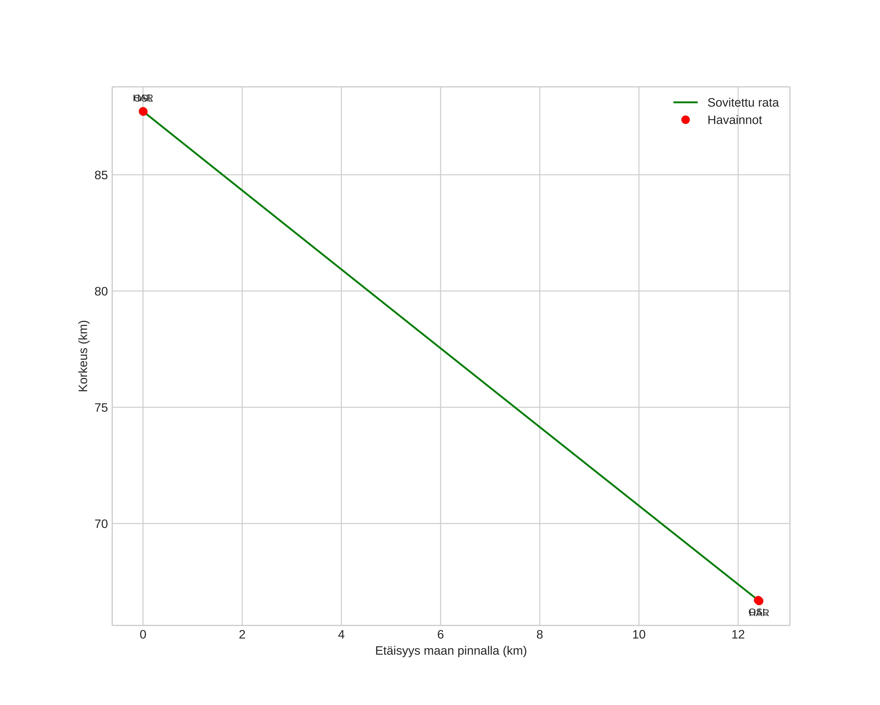
height profile
Meteorin ilmakehärata:
Alkukorkeus: 87,7 km
Loppukorkeus: 66,7 km
Alkupiste: 59,580N 12,520E
Loppupiste: 59,468N 12,528E
Suunta: 177,8°
Kallistuskulma: 59,4°
Tulonopeus: 30,0 km/s
Radiantin R,A,: 03:28 (52,2°)
Radiantin Dekl,: 87,9°
Meteoriparvi: Sporadinen
Meteoroidin rataelementit:
Perihelietäisyys: 0,900 AU
Eksentrisyys: 0,926
Inklinaatio: 39,3°
Nousevan solmun pituus: 269,8°
Perihelin argumentti: 214,7°
Keskianomalia: 359,5°
Epookki: 2015 DEC 22 05:13:09
orbit plot

Ei-interaktiivinen kuvaaja | Interaktiivinen kuvaaja

position vs time
speed and acceleration