🇳🇴 🇬🇧 🇩🇪 🇨🇿 🇫🇮

Meteor, poloha: Ă…rnes 2015-12-27 19:27:07 UTC

Soubor KML  |  InteraktivnĂ­ mapa

Mapa zobrazuje dráhy meteoru. Světlejší čáry ukazují směry od pozorovacích stanic při objevení se meteoru a tmavší čáry, kde byl naposledy viděn. Modrá šipka značí viditelnou dráhu meteoru.

static map
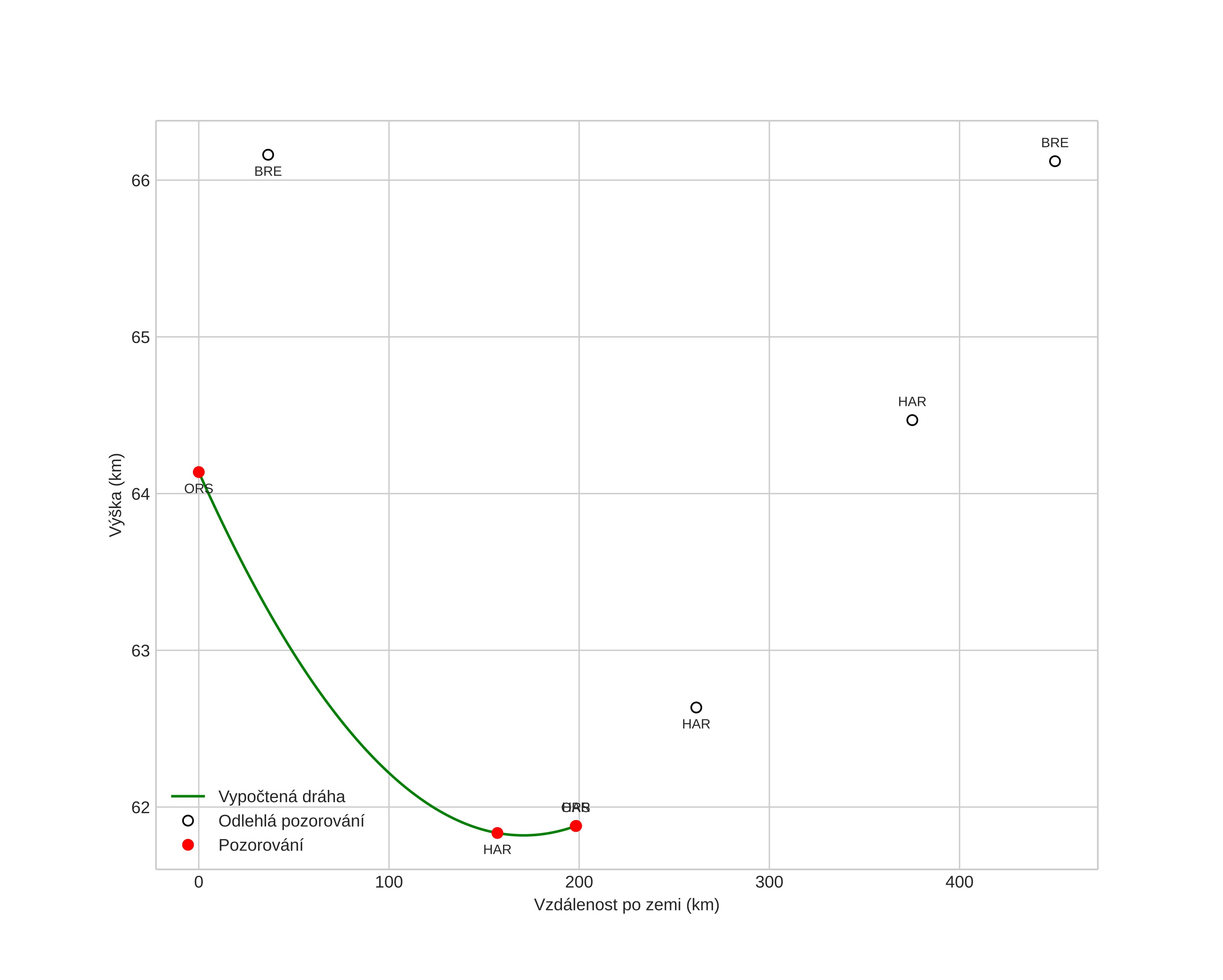
height profile
Atmosférická dráha meteoru:
Počáteční výška: 61,9 km
Konečná výška: 64,1 km
Počáteční poloha: 62,820N 7,280E
Konečná poloha: 63,859N 10,514E
Směr: 53,0°
Sklon: -0,6°
VstupnĂ­ rychlost: 12,9 km/s
Rektascenze radiantu: 21:15 (318,9°)
Deklinace radiantu: -47,4°
MeteorickĂ˝ roj: sporadickĂ˝
Elementy dráhy meteoroidu:
Vzdálenost v periheliu: 0,935 AU
Excentricita: 0,308
Sklon dráhy: 5,9°
Délka vzestupného uzlu: 95,5°
Argument perihelia: 322,1°
Střední anomálie: 19,7°
Epocha: 2015 DEC 27 19:27:07
orbit plot

NeinteraktivnĂ­ graf | InteraktivnĂ­ graf

position vs time
speed and acceleration