🇳🇴 🇬🇧 🇩🇪 🇨🇿 🇫🇮

Meteor Årnesin yllä 2015-12-27 19:27:07 UTC

KML-tiedosto  |  Interaktiivinen kartta

Kartta näyttää meteorin suuntahavainnot. Vaaleammat viivat näyttävät suunnat havaintoasemilta meteorin ilmestyessä, ja tummemmat viivat näyttävät, missä se viimeksi nähtiin. Sininen nuoli näyttää meteorin näkyvän lennon.

static map
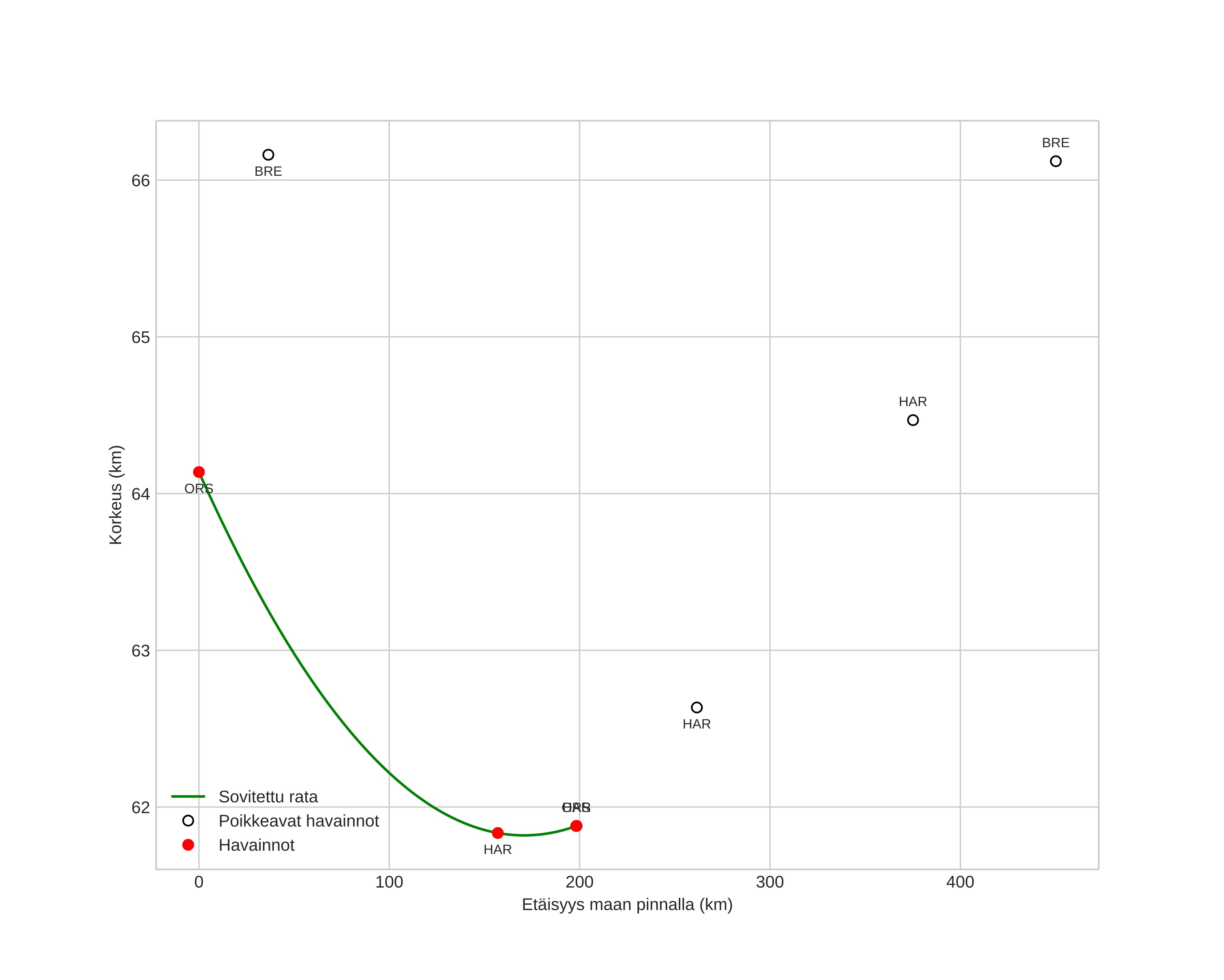
height profile
Meteorin ilmakehärata:
Alkukorkeus: 61,9 km
Loppukorkeus: 64,1 km
Alkupiste: 62,820N 7,280E
Loppupiste: 63,859N 10,514E
Suunta: 53,0°
Kallistuskulma: -0,6°
Tulonopeus: 12,9 km/s
Radiantin R,A,: 21:15 (318,9°)
Radiantin Dekl,: -47,4°
Meteoriparvi: Sporadinen
Meteoroidin rataelementit:
Perihelietäisyys: 0,935 AU
Eksentrisyys: 0,308
Inklinaatio: 5,9°
Nousevan solmun pituus: 95,5°
Perihelin argumentti: 322,1°
Keskianomalia: 19,7°
Epookki: 2015 DEC 27 19:27:07
orbit plot

Ei-interaktiivinen kuvaaja | Interaktiivinen kuvaaja

position vs time
speed and acceleration

Solobservatoriet (HAR) cam2


gnomonic
Videot:
• Gnomoninen
• Gnomoninen koordinaateilla
• Alkuperäinen
• Alkuperäinen koordinaateilla
Kuvat:
• Gnomoninen
• Gnomoninen koordinaateilla
• Gnomoninen merkinnöillä
• Alkuperäinen
• Alkuperäinen koordinaateilla
• Alkuperäinen maskilla
Tekstitiedostot:
• Havaintoraportti
• Observaatio
• Koordinaatit
• Virheilmoitukset
• Loki
Kirkkaus