🇳🇴 🇬🇧 🇩🇪 🇨🇿 🇫🇮

Meteor, poloha: Lillehammer 2016-01-13 20:55:22 UTC

Soubor KML  |  InteraktivnĂ­ mapa

Mapa zobrazuje dráhy meteoru. Světlejší čáry ukazují směry od pozorovacích stanic při objevení se meteoru a tmavší čáry, kde byl naposledy viděn. Modrá šipka značí viditelnou dráhu meteoru.

static map
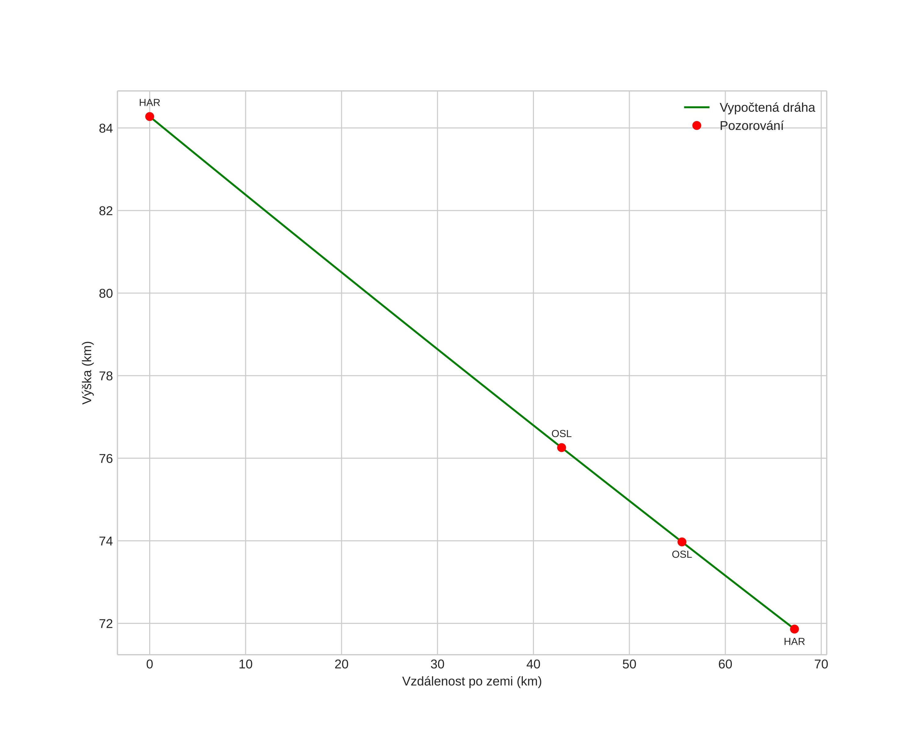
height profile
Atmosférická dráha meteoru:
Počáteční výška: 84,3 km
Konečná výška: 71,9 km
Počáteční poloha: 60,407N 10,636E
Konečná poloha: 60,987N 10,287E
Směr: 343,7°
Sklon: 10,5°
VstupnĂ­ rychlost: 19,8 km/s
Rektascenze radiantu: 06:18 (94,6°)
Deklinace radiantu: -27,0°
MeteorickĂ˝ roj: sporadickĂ˝
Elementy dráhy meteoroidu:
Vzdálenost v periheliu: 0,883 AU
Excentricita: 0,558
Sklon dráhy: 20,7°
Délka vzestupného uzlu: 112,9°
Argument perihelia: 44,3°
Střední anomálie: 348,8°
Epocha: 2016 JAN 13 20:55:22
orbit plot

NeinteraktivnĂ­ graf | InteraktivnĂ­ graf

position vs time
speed and acceleration