🇳🇴 🇬🇧 🇩🇪 🇨🇿 🇫🇮

Meteor Lillehammerin yllä 2016-01-13 20:55:22 UTC

KML-tiedosto  |  Interaktiivinen kartta

Kartta näyttää meteorin suuntahavainnot. Vaaleammat viivat näyttävät suunnat havaintoasemilta meteorin ilmestyessä, ja tummemmat viivat näyttävät, missä se viimeksi nähtiin. Sininen nuoli näyttää meteorin näkyvän lennon.

static map
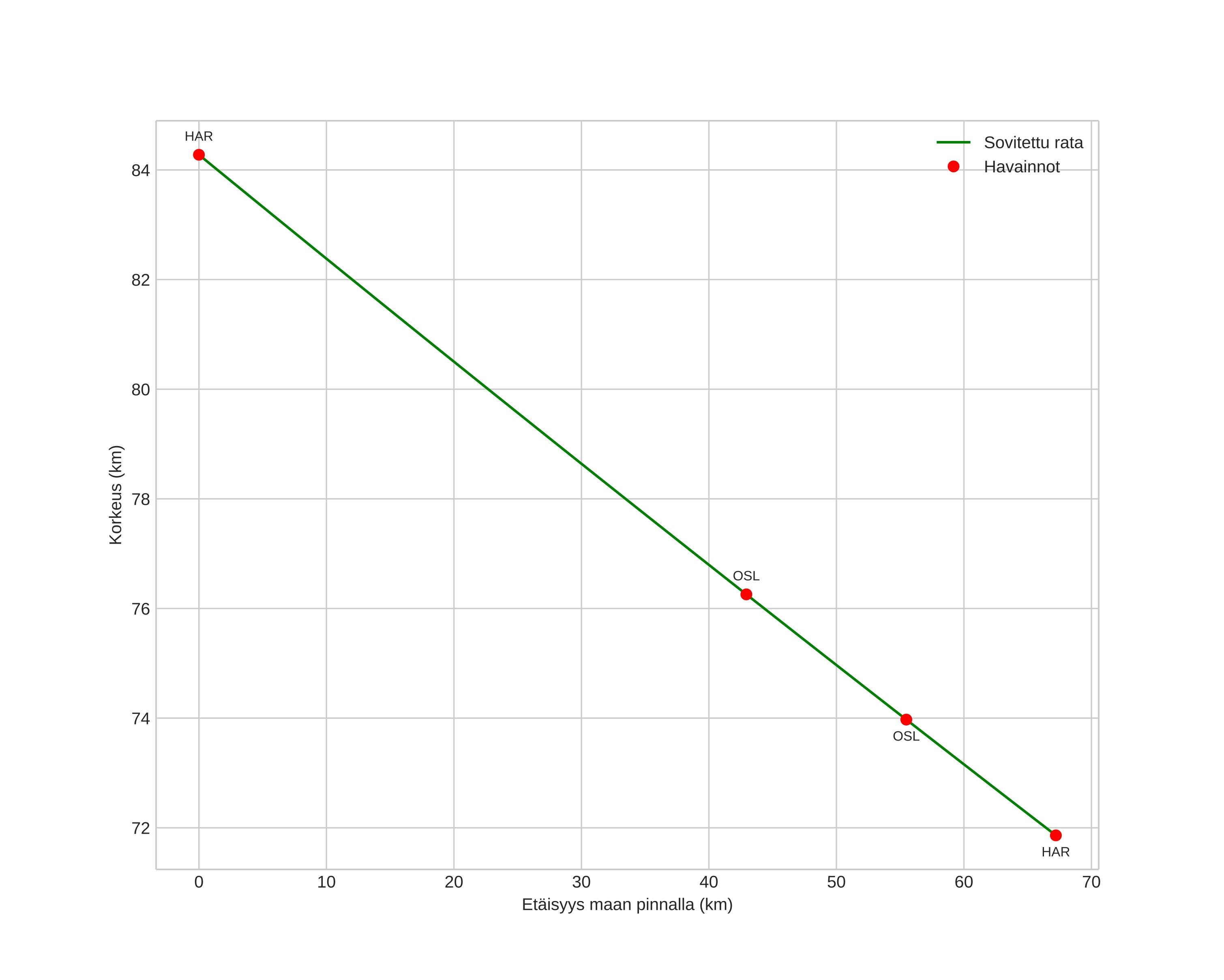
height profile
Meteorin ilmakehärata:
Alkukorkeus: 84,3 km
Loppukorkeus: 71,9 km
Alkupiste: 60,407N 10,636E
Loppupiste: 60,987N 10,287E
Suunta: 343,7°
Kallistuskulma: 10,5°
Tulonopeus: 19,8 km/s
Radiantin R,A,: 06:18 (94,6°)
Radiantin Dekl,: -27,0°
Meteoriparvi: Sporadinen
Meteoroidin rataelementit:
Perihelietäisyys: 0,883 AU
Eksentrisyys: 0,558
Inklinaatio: 20,7°
Nousevan solmun pituus: 112,9°
Perihelin argumentti: 44,3°
Keskianomalia: 348,8°
Epookki: 2016 JAN 13 20:55:22
orbit plot

Ei-interaktiivinen kuvaaja | Interaktiivinen kuvaaja

position vs time
speed and acceleration