🇳🇴 🇬🇧 🇩🇪 🇨🇿 🇫🇮

Meteor, poloha: Skotterud 2016-01-14 18:57:28 UTC

Soubor KML  |  InteraktivnĂ­ mapa

Mapa zobrazuje dráhy meteoru. Světlejší čáry ukazují směry od pozorovacích stanic při objevení se meteoru a tmavší čáry, kde byl naposledy viděn. Modrá šipka značí viditelnou dráhu meteoru.

static map
height profile
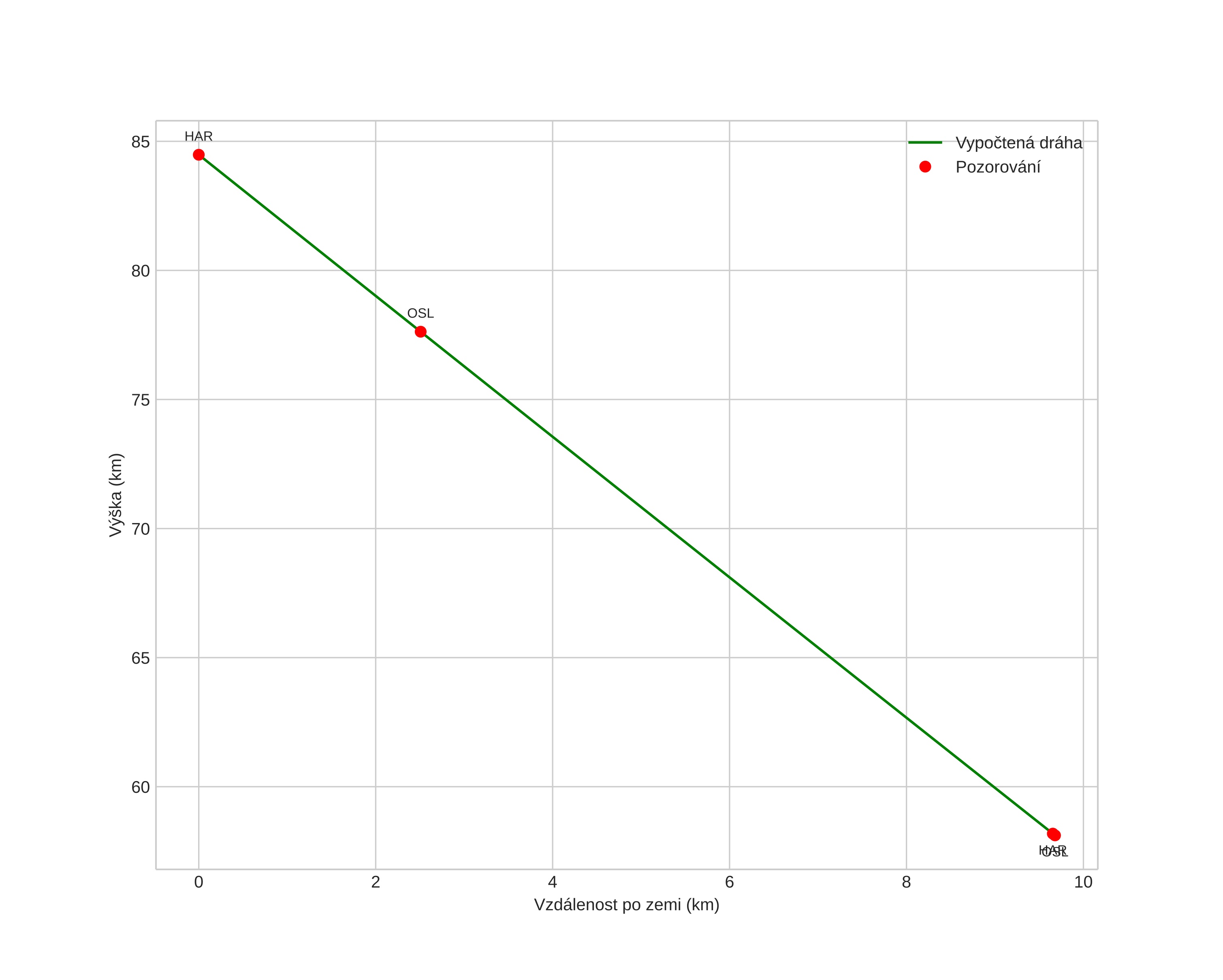
Atmosférická dráha meteoru:
Počáteční výška: 84,5 km
Konečná výška: 58,1 km
Počáteční poloha: 60,193N 12,507E
Konečná poloha: 60,244N 12,365E
Směr: 305,8°
Sklon: 69,9°
VstupnĂ­ rychlost: 16,3 km/s
Rektascenze radiantu: 04:59 (75,0°)
Deklinace radiantu: 43,1°
MeteorickĂ˝ roj: sporadickĂ˝
Elementy dráhy meteoroidu:
Vzdálenost v periheliu: 0,913 AU
Excentricita: 0,633
Sklon dráhy: 6,4°
Délka vzestupného uzlu: 293,8°
Argument perihelia: 215,5°
Střední anomálie: 353,5°
Epocha: 2016 JAN 14 18:57:28
orbit plot

NeinteraktivnĂ­ graf | InteraktivnĂ­ graf

position vs time
speed and acceleration