🇳🇴 🇬🇧 🇩🇪 🇨🇿 🇫🇮

Meteor Skotterudin yllä 2016-01-14 18:57:28 UTC

KML-tiedosto  |  Interaktiivinen kartta

Kartta näyttää meteorin suuntahavainnot. Vaaleammat viivat näyttävät suunnat havaintoasemilta meteorin ilmestyessä, ja tummemmat viivat näyttävät, missä se viimeksi nähtiin. Sininen nuoli näyttää meteorin näkyvän lennon.

static map
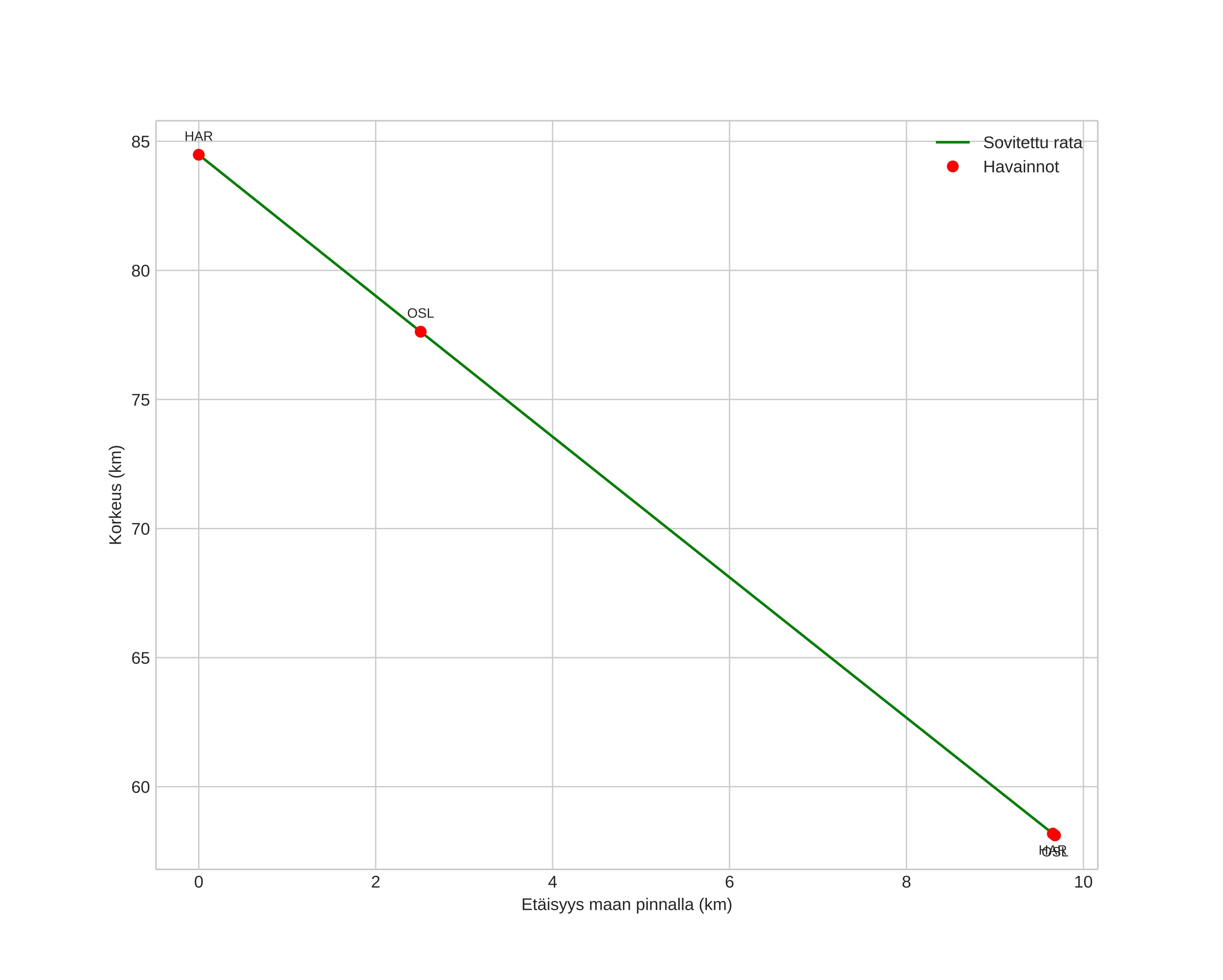
height profile
Meteorin ilmakehärata:
Alkukorkeus: 84,5 km
Loppukorkeus: 58,1 km
Alkupiste: 60,193N 12,507E
Loppupiste: 60,244N 12,365E
Suunta: 305,8°
Kallistuskulma: 69,9°
Tulonopeus: 16,3 km/s
Radiantin R,A,: 04:59 (75,0°)
Radiantin Dekl,: 43,1°
Meteoriparvi: Sporadinen
Meteoroidin rataelementit:
Perihelietäisyys: 0,913 AU
Eksentrisyys: 0,633
Inklinaatio: 6,4°
Nousevan solmun pituus: 293,8°
Perihelin argumentti: 215,5°
Keskianomalia: 353,5°
Epookki: 2016 JAN 14 18:57:28
orbit plot

Ei-interaktiivinen kuvaaja | Interaktiivinen kuvaaja

position vs time
speed and acceleration