🇳🇴 🇬🇧 🇩🇪 🇨🇿 🇫🇮

Meteor, poloha: Årjäng 2016-01-17 16:45:39 UTC

Soubor KML  |  InteraktivnĂ­ mapa

Mapa zobrazuje dráhy meteoru. Světlejší čáry ukazují směry od pozorovacích stanic při objevení se meteoru a tmavší čáry, kde byl naposledy viděn. Modrá šipka značí viditelnou dráhu meteoru.

static map
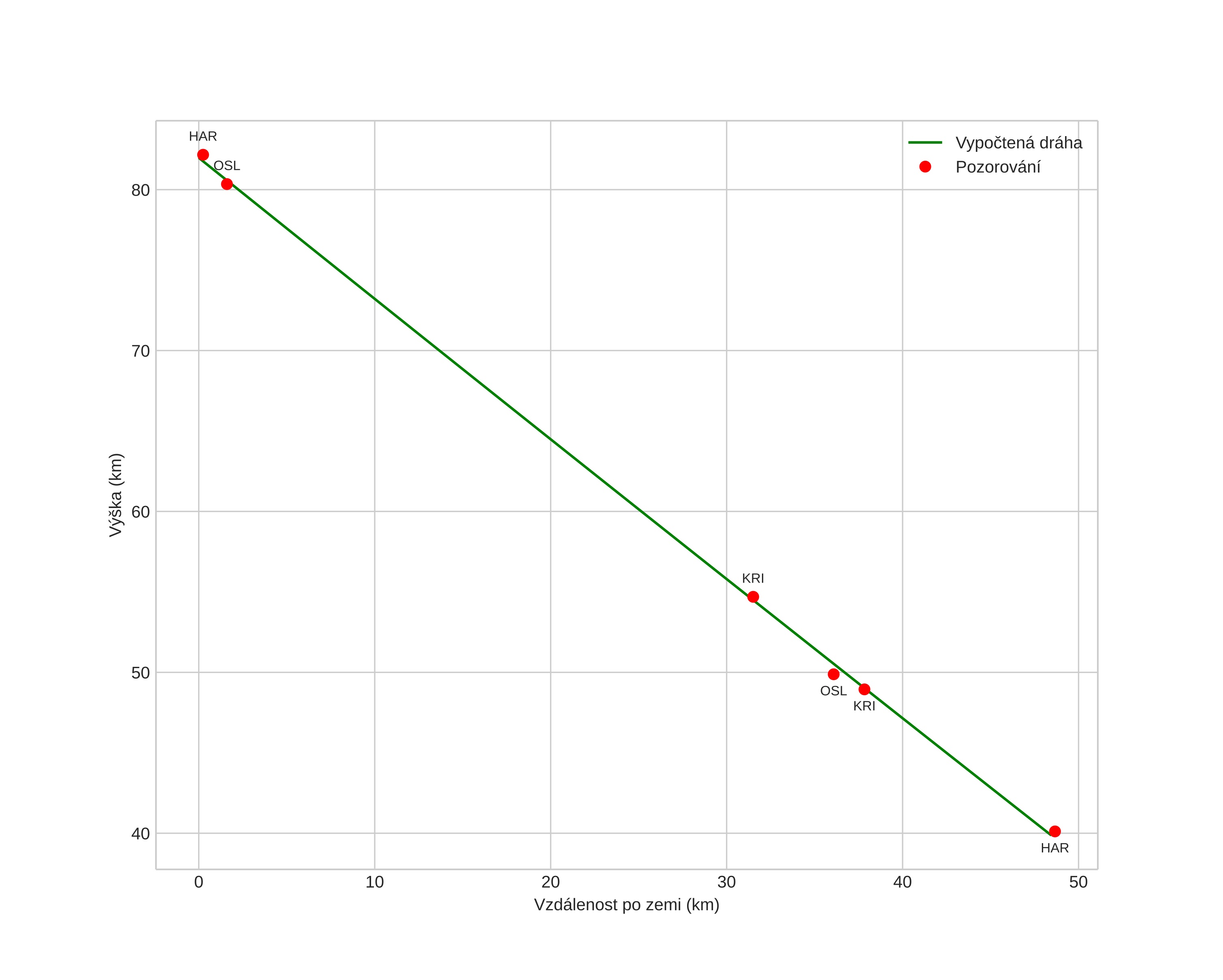
height profile
Atmosférická dráha meteoru:
Počáteční výška: 82,0 km
Konečná výška: 39,9 km
Počáteční poloha: 59,893N 12,266E
Konečná poloha: 59,478N 12,005E
Směr: 197,7°
Sklon: 41,0°
VstupnĂ­ rychlost: 24,4 km/s
Rektascenze radiantu: 11:03 (165,9°)
Deklinace radiantu: 65,8°
MeteorickĂ˝ roj: sporadickĂ˝
Elementy dráhy meteoroidu:
Vzdálenost v periheliu: 0,764 AU
Excentricita: 0,469
Sklon dráhy: 32,6°
Délka vzestupného uzlu: 296,8°
Argument perihelia: 252,6°
Střední anomálie: 332,3°
Epocha: 2016 JAN 17 16:45:39
orbit plot

NeinteraktivnĂ­ graf | InteraktivnĂ­ graf

position vs time
speed and acceleration