🇳🇴 🇬🇧 🇩🇪 🇨🇿 🇫🇮

Meteor Årjängin yllä 2016-01-17 16:45:39 UTC

KML-tiedosto  |  Interaktiivinen kartta

Kartta näyttää meteorin suuntahavainnot. Vaaleammat viivat näyttävät suunnat havaintoasemilta meteorin ilmestyessä, ja tummemmat viivat näyttävät, missä se viimeksi nähtiin. Sininen nuoli näyttää meteorin näkyvän lennon.

static map
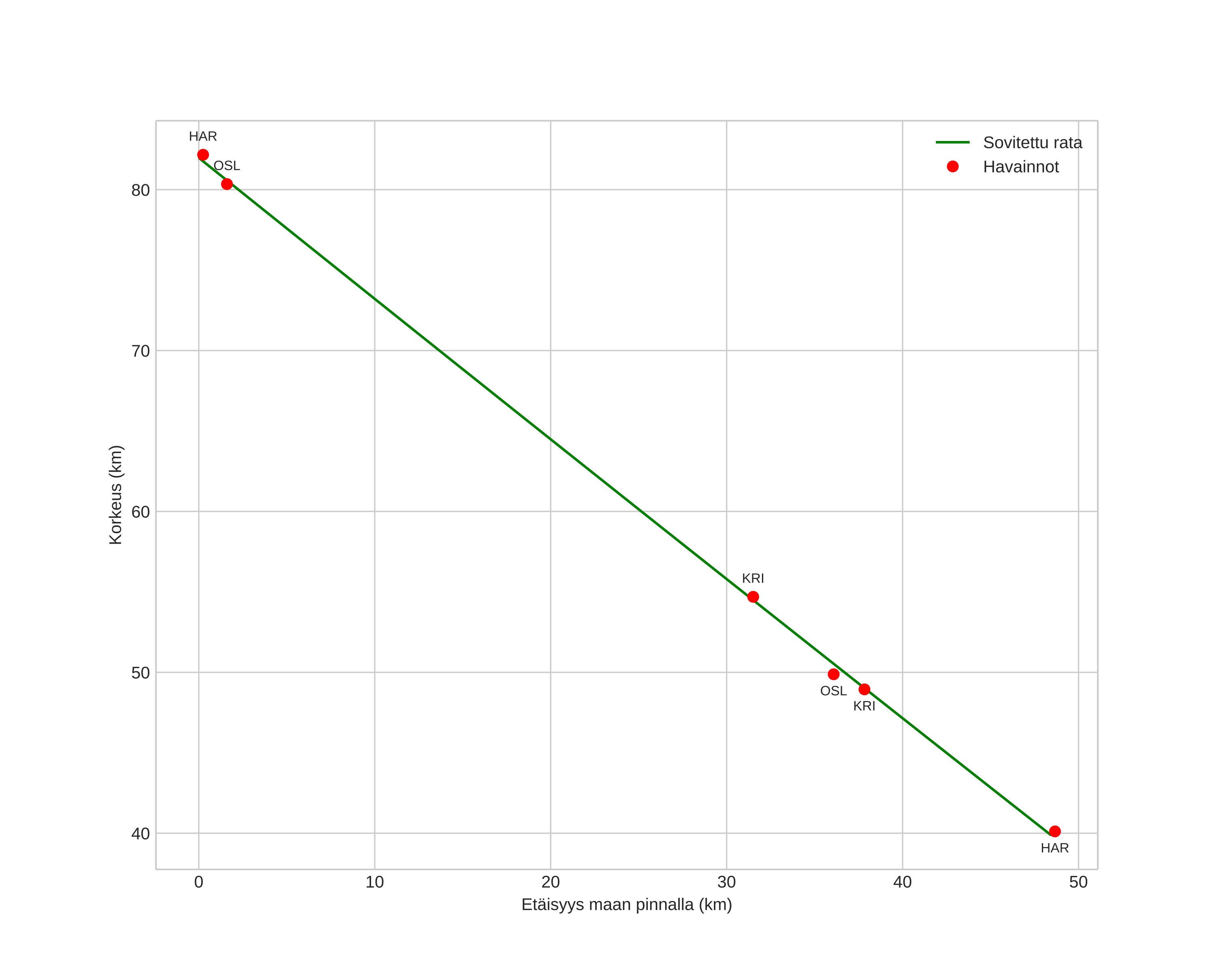
height profile
Meteorin ilmakehärata:
Alkukorkeus: 82,0 km
Loppukorkeus: 39,9 km
Alkupiste: 59,893N 12,266E
Loppupiste: 59,478N 12,005E
Suunta: 197,7°
Kallistuskulma: 41,0°
Tulonopeus: 24,4 km/s
Radiantin R,A,: 11:03 (165,9°)
Radiantin Dekl,: 65,8°
Meteoriparvi: Sporadinen
Meteoroidin rataelementit:
Perihelietäisyys: 0,764 AU
Eksentrisyys: 0,469
Inklinaatio: 32,6°
Nousevan solmun pituus: 296,8°
Perihelin argumentti: 252,6°
Keskianomalia: 332,3°
Epookki: 2016 JAN 17 16:45:39
orbit plot

Ei-interaktiivinen kuvaaja | Interaktiivinen kuvaaja

position vs time
speed and acceleration