🇳🇴 🇬🇧 🇩🇪 🇨🇿 🇫🇮

Meteor, poloha: Fjellfoten 2016-01-17 17:19:46 UTC

Soubor KML  |  InteraktivnĂ­ mapa

Mapa zobrazuje dráhy meteoru. Světlejší čáry ukazují směry od pozorovacích stanic při objevení se meteoru a tmavší čáry, kde byl naposledy viděn. Modrá šipka značí viditelnou dráhu meteoru.

static map
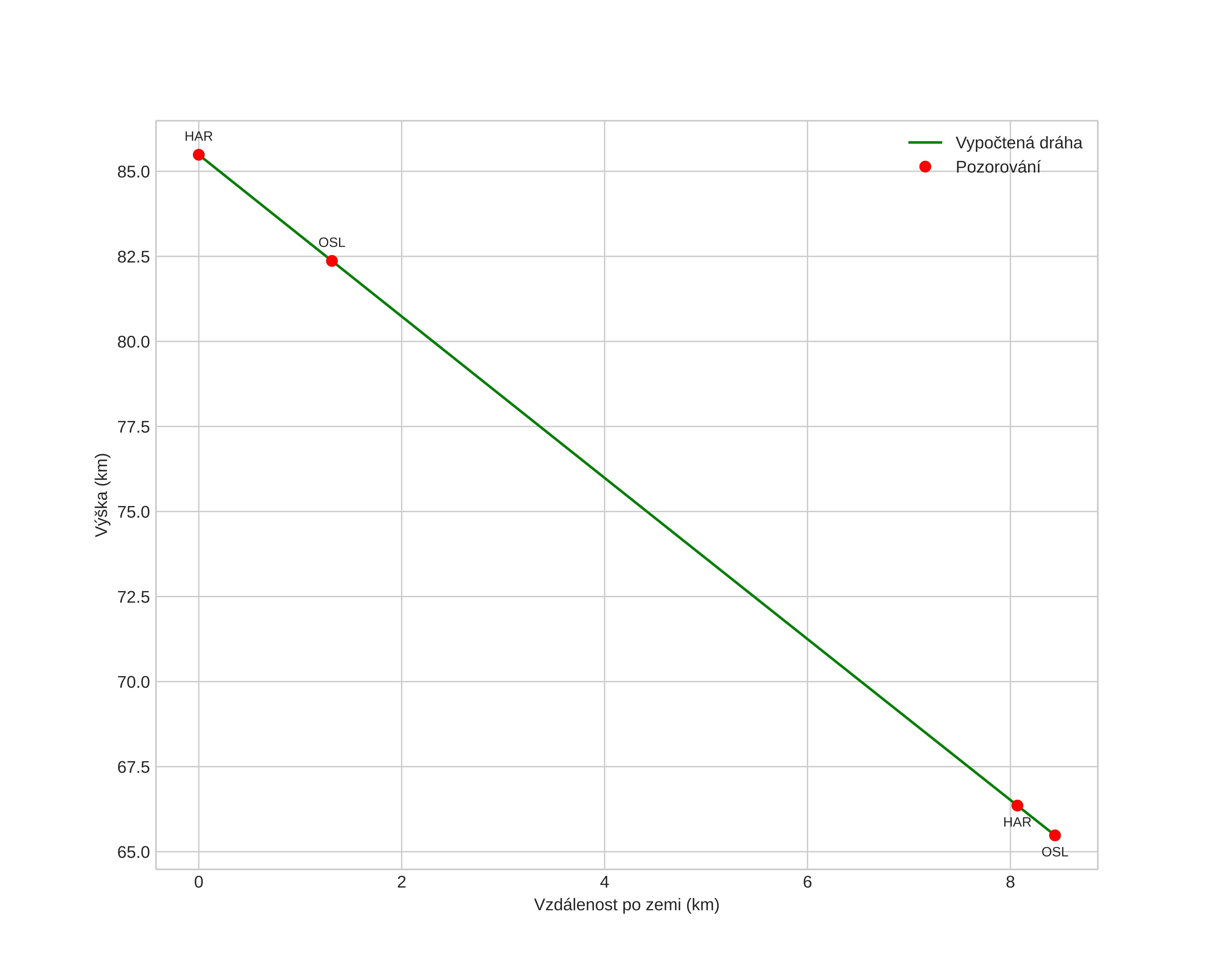
height profile
Atmosférická dráha meteoru:
Počáteční výška: 85,5 km
Konečná výška: 65,5 km
Počáteční poloha: 60,021N 11,684E
Konečná poloha: 59,998N 11,539E
Směr: 252,0°
Sklon: 67,1°
VstupnĂ­ rychlost: 15,3 km/s
Rektascenze radiantu: 05:19 (79,8°)
Deklinace radiantu: 57,8°
MeteorickĂ˝ roj: sporadickĂ˝
Elementy dráhy meteoroidu:
Vzdálenost v periheliu: 0,926 AU
Excentricita: 0,486
Sklon dráhy: 9,6°
Délka vzestupného uzlu: 296,8°
Argument perihelia: 215,0°
Střední anomálie: 349,0°
Epocha: 2016 JAN 17 17:19:46
orbit plot

NeinteraktivnĂ­ graf | InteraktivnĂ­ graf

position vs time
speed and acceleration