🇳🇴 🇬🇧 🇩🇪 🇨🇿 🇫🇮

Meteor Fjellfotenin yllä 2016-01-17 17:19:46 UTC

KML-tiedosto  |  Interaktiivinen kartta

Kartta näyttää meteorin suuntahavainnot. Vaaleammat viivat näyttävät suunnat havaintoasemilta meteorin ilmestyessä, ja tummemmat viivat näyttävät, missä se viimeksi nähtiin. Sininen nuoli näyttää meteorin näkyvän lennon.

static map
height profile
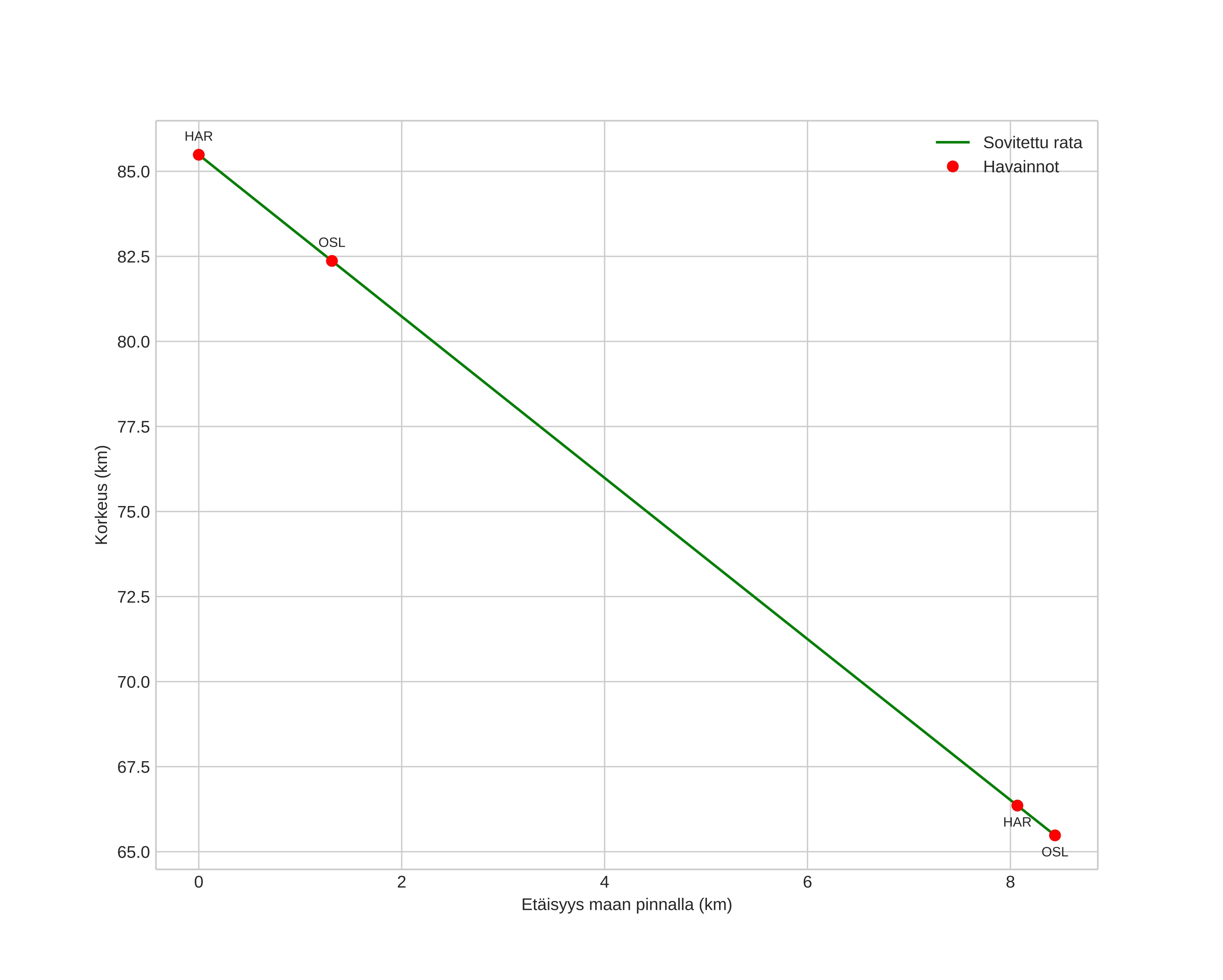
Meteorin ilmakehärata:
Alkukorkeus: 85,5 km
Loppukorkeus: 65,5 km
Alkupiste: 60,021N 11,684E
Loppupiste: 59,998N 11,539E
Suunta: 252,0°
Kallistuskulma: 67,1°
Tulonopeus: 15,3 km/s
Radiantin R,A,: 05:19 (79,8°)
Radiantin Dekl,: 57,8°
Meteoriparvi: Sporadinen
Meteoroidin rataelementit:
Perihelietäisyys: 0,926 AU
Eksentrisyys: 0,486
Inklinaatio: 9,6°
Nousevan solmun pituus: 296,8°
Perihelin argumentti: 215,0°
Keskianomalia: 349,0°
Epookki: 2016 JAN 17 17:19:46
orbit plot

Ei-interaktiivinen kuvaaja | Interaktiivinen kuvaaja

position vs time
speed and acceleration