🇳🇴 🇬🇧 🇩🇪 🇨🇿 🇫🇮

Meteor, poloha: Vintrosa 2016-01-17 21:00:44 UTC

Soubor KML  |  InteraktivnĂ­ mapa

Mapa zobrazuje dráhy meteoru. Světlejší čáry ukazují směry od pozorovacích stanic při objevení se meteoru a tmavší čáry, kde byl naposledy viděn. Modrá šipka značí viditelnou dráhu meteoru.

static map
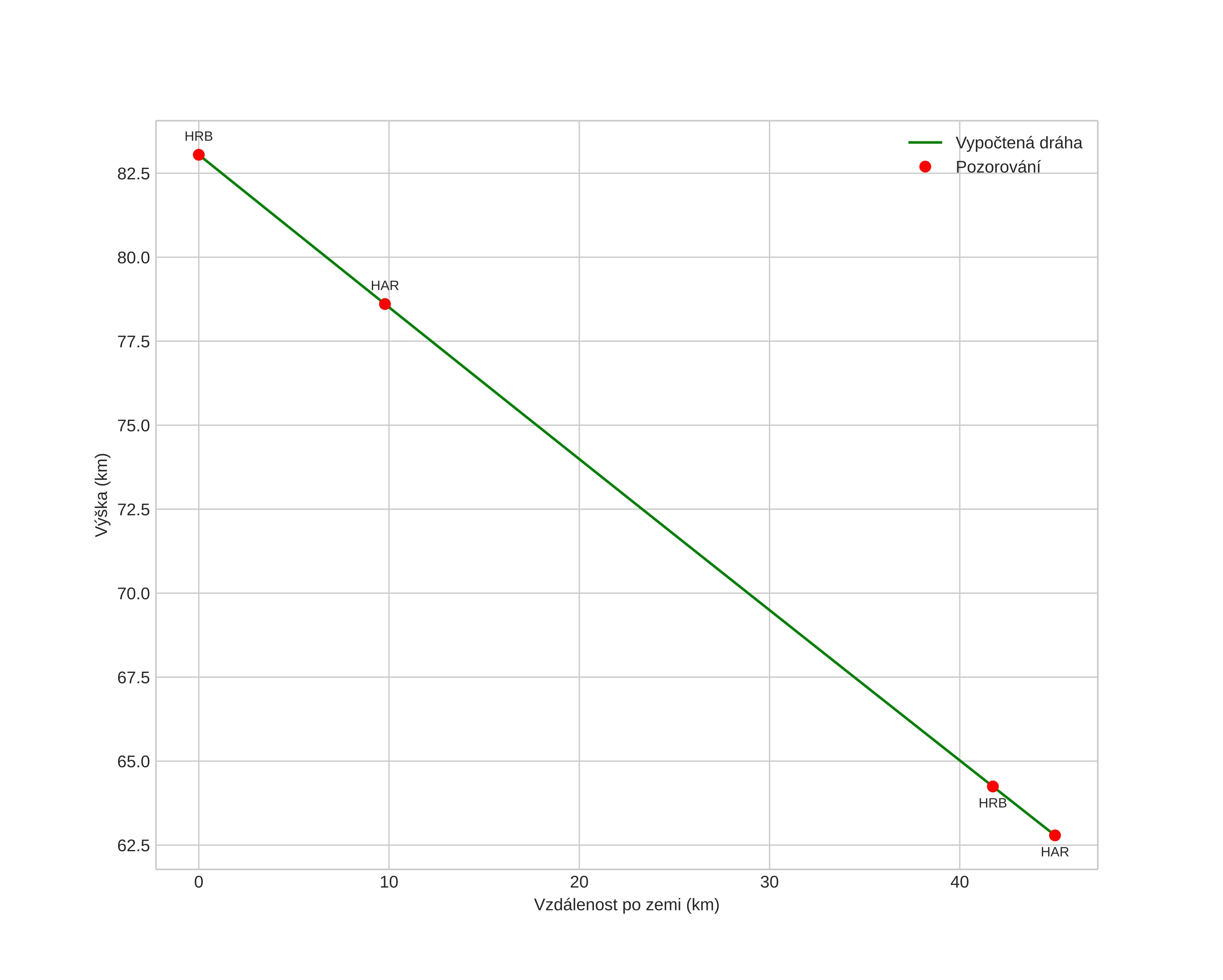
height profile
Atmosférická dráha meteoru:
Počáteční výška: 83,0 km
Konečná výška: 62,8 km
Počáteční poloha: 58,838N 15,193E
Konečná poloha: 59,233N 15,024E
Směr: 347,7°
Sklon: 24,2°
VstupnĂ­ rychlost: 20,1 km/s
Rektascenze radiantu: 06:32 (98,2°)
Deklinace radiantu: -13,1°
MeteorickĂ˝ roj: sporadickĂ˝
Elementy dráhy meteoroidu:
Vzdálenost v periheliu: 0,840 AU
Excentricita: 0,649
Sklon dráhy: 16,1°
Délka vzestupného uzlu: 117,0°
Argument perihelia: 51,1°
Střední anomálie: 350,8°
Epocha: 2016 JAN 17 21:00:44
orbit plot

NeinteraktivnĂ­ graf | InteraktivnĂ­ graf

position vs time
speed and acceleration