🇳🇴 🇬🇧 🇩🇪 🇨🇿 🇫🇮

Meteor Vintrosan yllä 2016-01-17 21:00:44 UTC

KML-tiedosto  |  Interaktiivinen kartta

Kartta näyttää meteorin suuntahavainnot. Vaaleammat viivat näyttävät suunnat havaintoasemilta meteorin ilmestyessä, ja tummemmat viivat näyttävät, missä se viimeksi nähtiin. Sininen nuoli näyttää meteorin näkyvän lennon.

static map
height profile
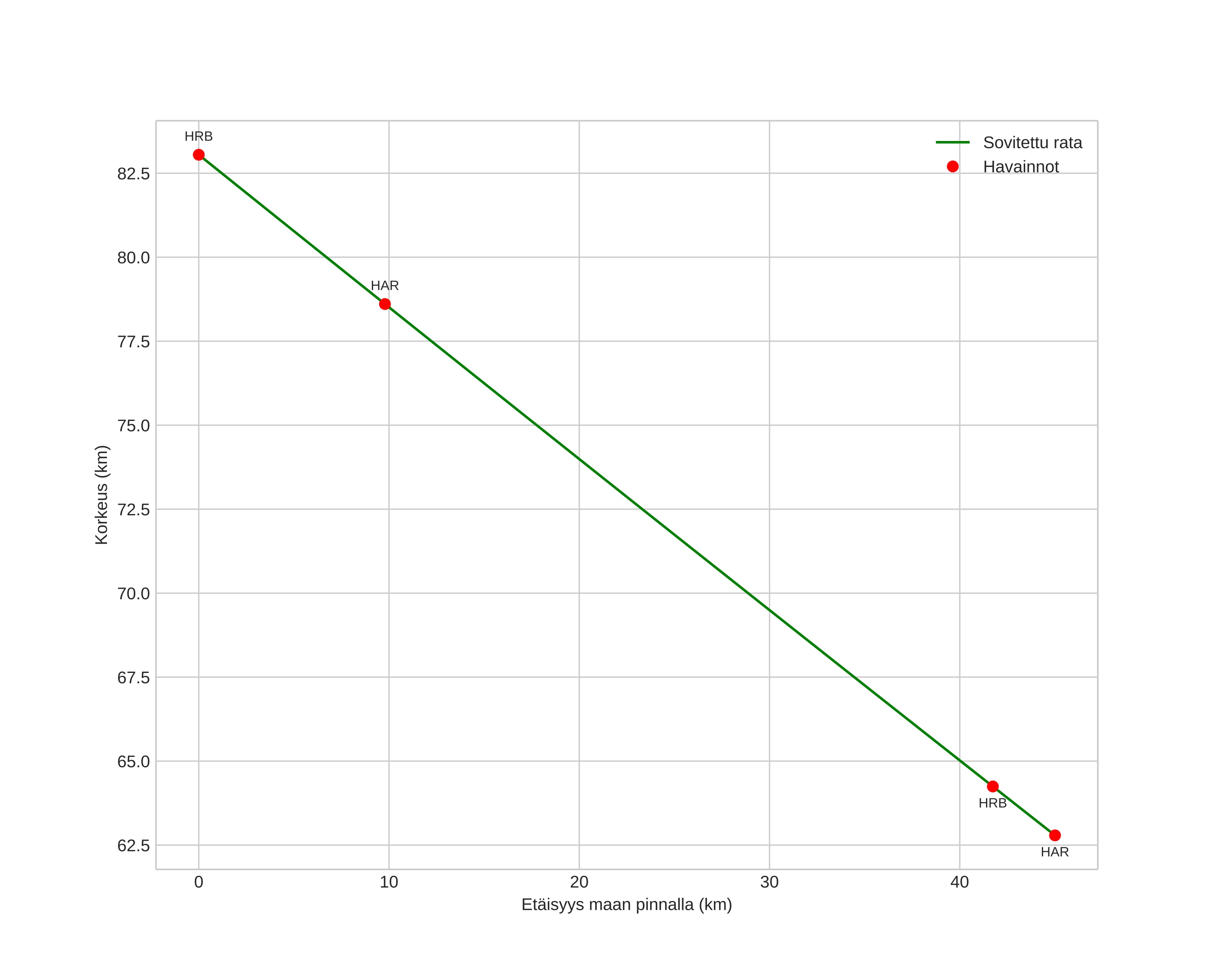
Meteorin ilmakehärata:
Alkukorkeus: 83,0 km
Loppukorkeus: 62,8 km
Alkupiste: 58,838N 15,193E
Loppupiste: 59,233N 15,024E
Suunta: 347,7°
Kallistuskulma: 24,2°
Tulonopeus: 20,1 km/s
Radiantin R,A,: 06:32 (98,2°)
Radiantin Dekl,: -13,1°
Meteoriparvi: Sporadinen
Meteoroidin rataelementit:
Perihelietäisyys: 0,840 AU
Eksentrisyys: 0,649
Inklinaatio: 16,1°
Nousevan solmun pituus: 117,0°
Perihelin argumentti: 51,1°
Keskianomalia: 350,8°
Epookki: 2016 JAN 17 21:00:44
orbit plot

Ei-interaktiivinen kuvaaja | Interaktiivinen kuvaaja

position vs time
speed and acceleration