🇳🇴 🇬🇧 🇩🇪 🇨🇿 🇫🇮

Meteor, poloha: Lærdalsøyri 2016-01-19 20:20:59 UTC

Soubor KML  |  InteraktivnĂ­ mapa

Mapa zobrazuje dráhy meteoru. Světlejší čáry ukazují směry od pozorovacích stanic při objevení se meteoru a tmavší čáry, kde byl naposledy viděn. Modrá šipka značí viditelnou dráhu meteoru.

static map
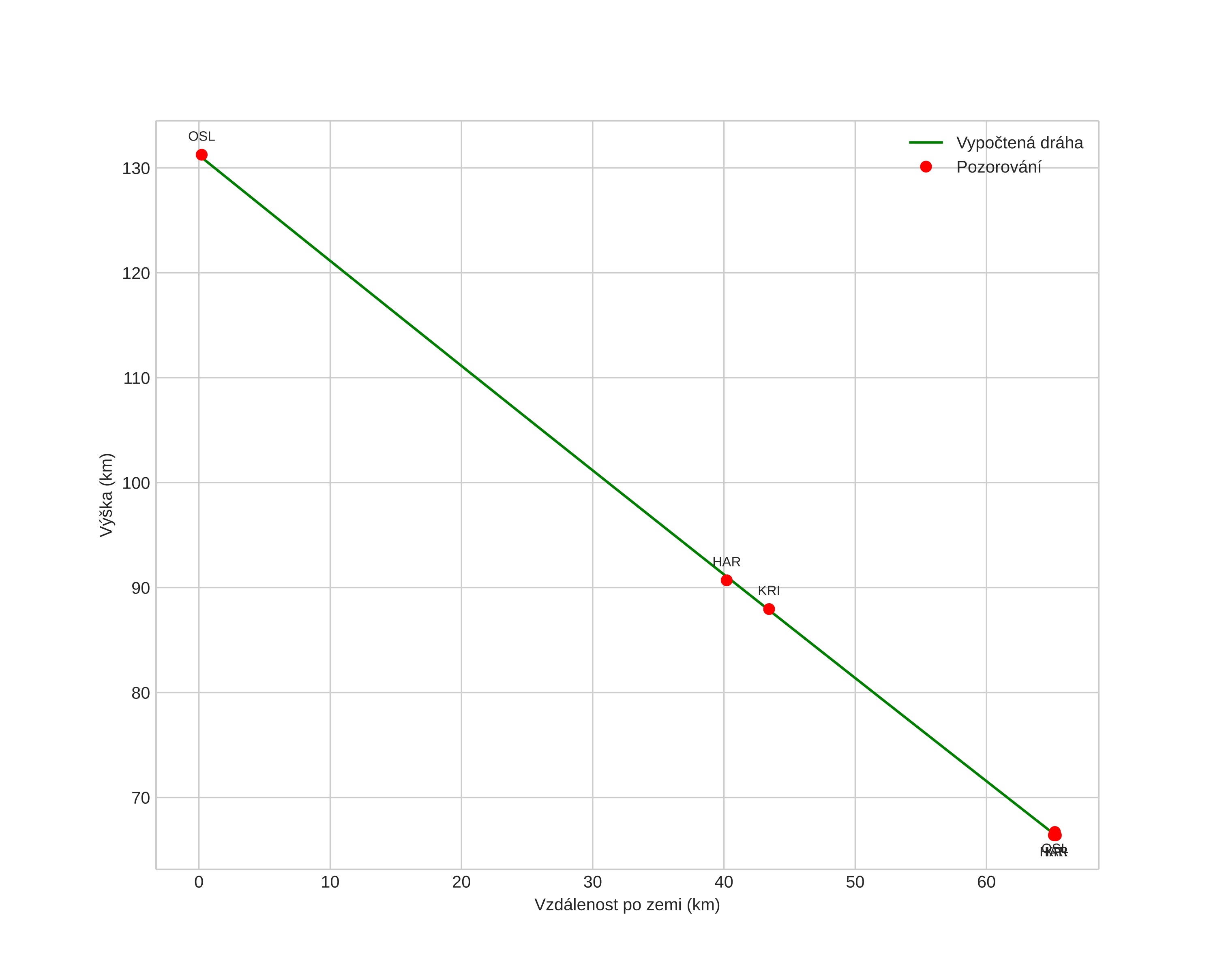
height profile
Atmosférická dráha meteoru:
Počáteční výška: 131,2 km
Konečná výška: 66,4 km
Počáteční poloha: 60,306N 8,563E
Konečná poloha: 60,723N 7,722E
Směr: 315,5°
Sklon: 44,8°
VstupnĂ­ rychlost: 21,2 km/s
Rektascenze radiantu: 07:00 (105,2°)
Deklinace radiantu: 17,7°
MeteorickĂ˝ roj: sporadickĂ˝
Elementy dráhy meteoroidu:
Vzdálenost v periheliu: 0,756 AU
Excentricita: 0,743
Sklon dráhy: 2,6°
Délka vzestupného uzlu: 119,0°
Argument perihelia: 62,9°
Střední anomálie: 352,5°
Epocha: 2016 JAN 19 20:20:59
orbit plot

NeinteraktivnĂ­ graf | InteraktivnĂ­ graf

position vs time
speed and acceleration