🇳🇴 🇬🇧 🇩🇪 🇨🇿 🇫🇮

Meteor Lærdalsøyrin yllä 2016-01-19 20:20:59 UTC

KML-tiedosto  |  Interaktiivinen kartta

Kartta näyttää meteorin suuntahavainnot. Vaaleammat viivat näyttävät suunnat havaintoasemilta meteorin ilmestyessä, ja tummemmat viivat näyttävät, missä se viimeksi nähtiin. Sininen nuoli näyttää meteorin näkyvän lennon.

static map
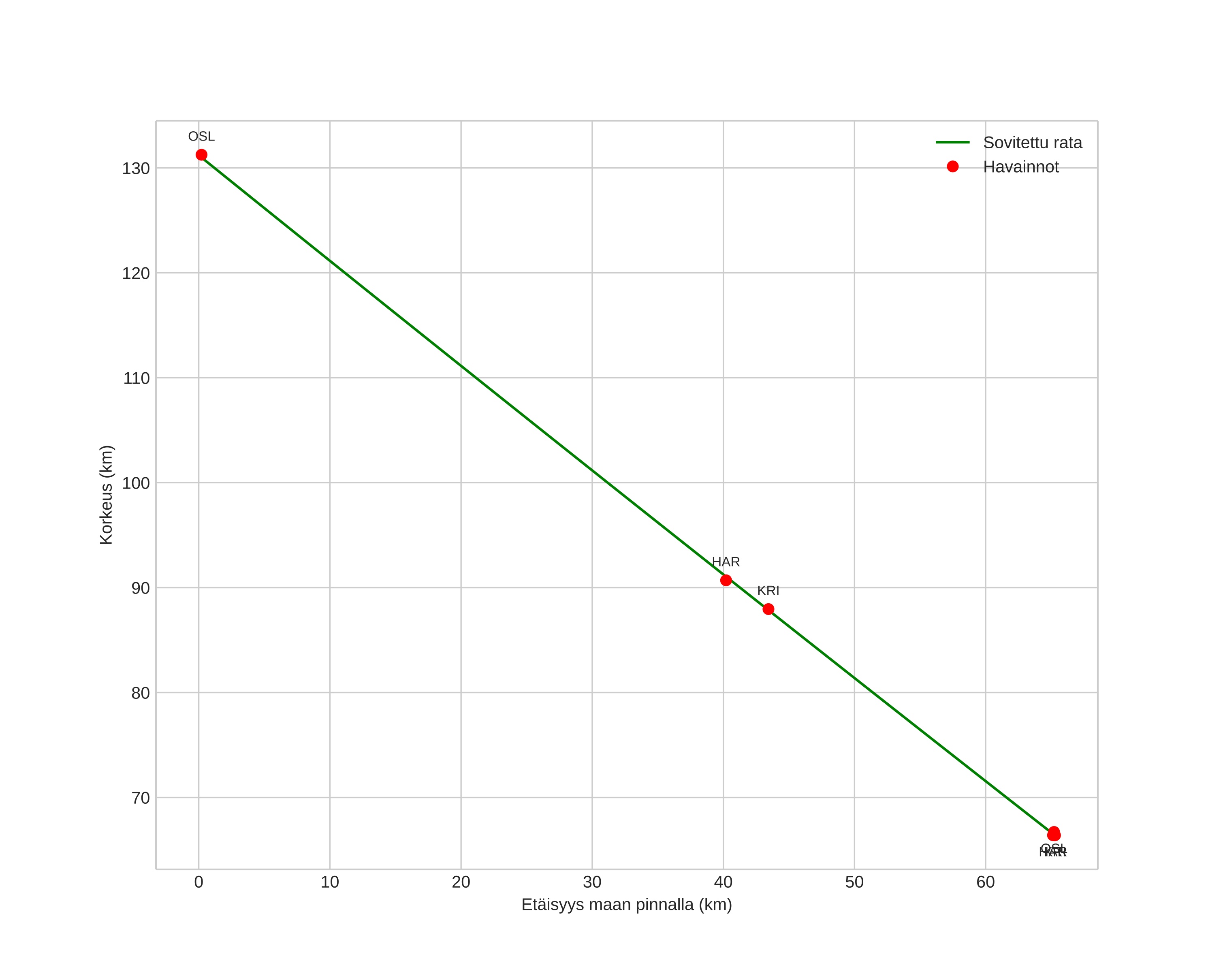
height profile
Meteorin ilmakehärata:
Alkukorkeus: 131,2 km
Loppukorkeus: 66,4 km
Alkupiste: 60,306N 8,563E
Loppupiste: 60,723N 7,722E
Suunta: 315,5°
Kallistuskulma: 44,8°
Tulonopeus: 21,2 km/s
Radiantin R,A,: 07:00 (105,2°)
Radiantin Dekl,: 17,7°
Meteoriparvi: Sporadinen
Meteoroidin rataelementit:
Perihelietäisyys: 0,756 AU
Eksentrisyys: 0,743
Inklinaatio: 2,6°
Nousevan solmun pituus: 119,0°
Perihelin argumentti: 62,9°
Keskianomalia: 352,5°
Epookki: 2016 JAN 19 20:20:59
orbit plot

Ei-interaktiivinen kuvaaja | Interaktiivinen kuvaaja

position vs time
speed and acceleration