🇳🇴 🇬🇧 🇩🇪 🇨🇿 🇫🇮

Meteor, poloha: Kirkenær 2016-01-21 20:54:24 UTC

Soubor KML  |  InteraktivnĂ­ mapa

Mapa zobrazuje dráhy meteoru. Světlejší čáry ukazují směry od pozorovacích stanic při objevení se meteoru a tmavší čáry, kde byl naposledy viděn. Modrá šipka značí viditelnou dráhu meteoru.

static map
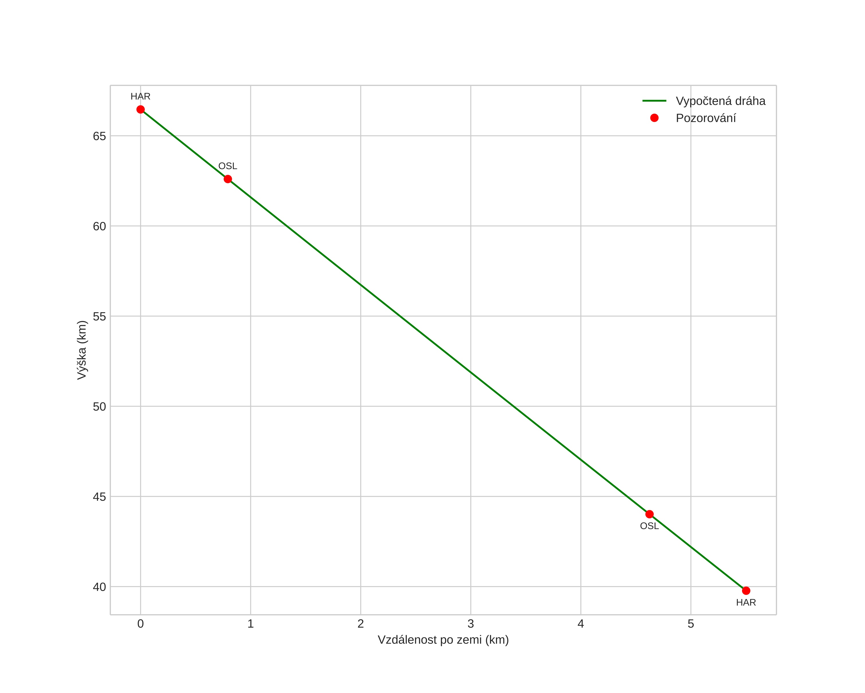
height profile
Atmosférická dráha meteoru:
Počáteční výška: 66,5 km
Konečná výška: 39,8 km
Počáteční poloha: 60,299N 12,394E
Konečná poloha: 60,334N 12,323E
Směr: 314,6°
Sklon: 78,4°
VstupnĂ­ rychlost: 13,2 km/s
Rektascenze radiantu: 06:42 (100,6°)
Deklinace radiantu: 48,5°
MeteorickĂ˝ roj: sporadickĂ˝
Elementy dráhy meteoroidu:
Vzdálenost v periheliu: 0,917 AU
Excentricita: 0,288
Sklon dráhy: 5,2°
Délka vzestupného uzlu: 301,0°
Argument perihelia: 226,0°
Střední anomálie: 334,5°
Epocha: 2016 JAN 21 20:54:24
orbit plot

NeinteraktivnĂ­ graf | InteraktivnĂ­ graf

position vs time
speed and acceleration