🇳🇴 🇬🇧 🇩🇪 🇨🇿 🇫🇮

Meteor Kirkenærin yllä 2016-01-21 20:54:24 UTC

KML-tiedosto  |  Interaktiivinen kartta

Kartta näyttää meteorin suuntahavainnot. Vaaleammat viivat näyttävät suunnat havaintoasemilta meteorin ilmestyessä, ja tummemmat viivat näyttävät, missä se viimeksi nähtiin. Sininen nuoli näyttää meteorin näkyvän lennon.

static map
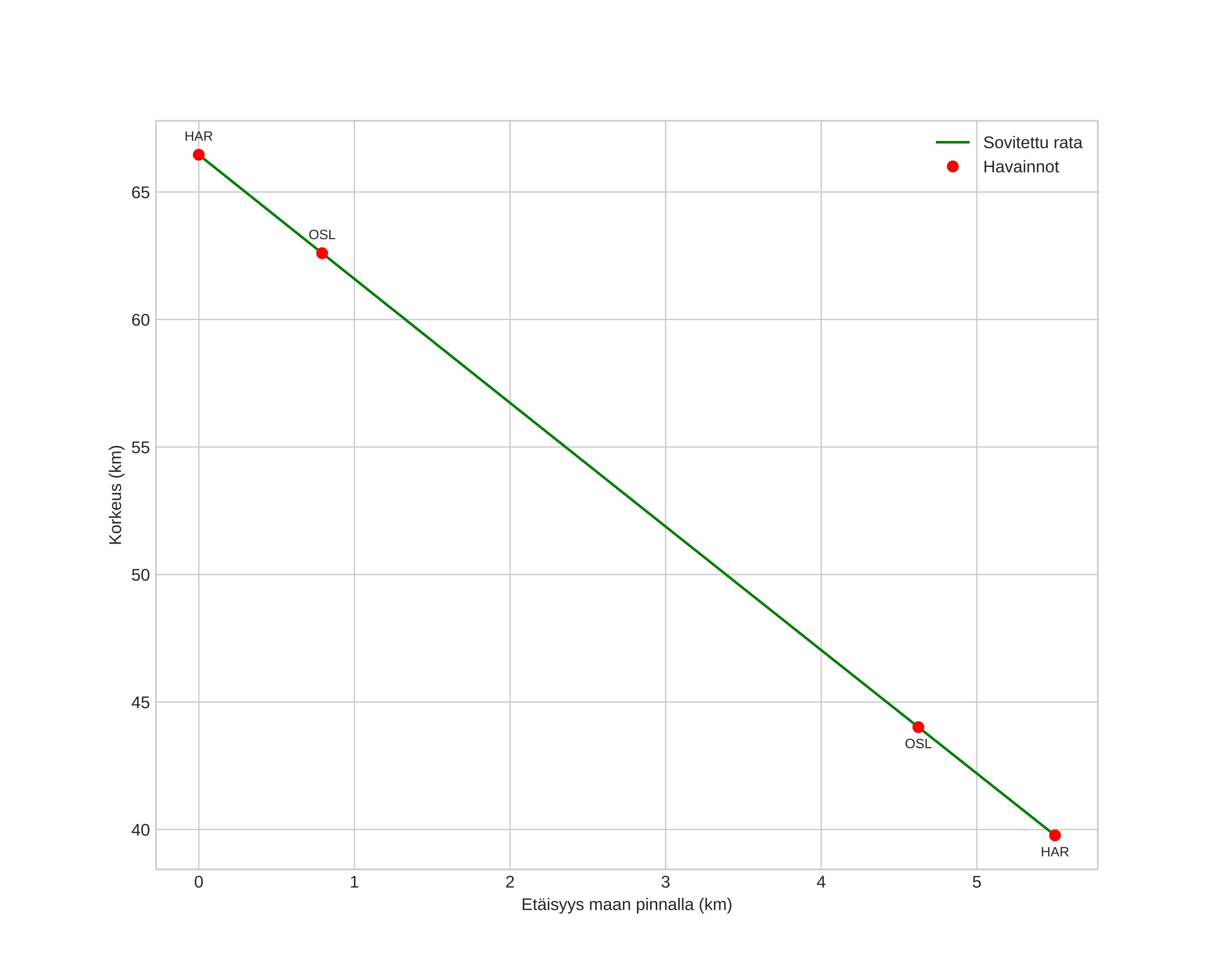
height profile
Meteorin ilmakehärata:
Alkukorkeus: 66,5 km
Loppukorkeus: 39,8 km
Alkupiste: 60,299N 12,394E
Loppupiste: 60,334N 12,323E
Suunta: 314,6°
Kallistuskulma: 78,4°
Tulonopeus: 13,2 km/s
Radiantin R,A,: 06:42 (100,6°)
Radiantin Dekl,: 48,5°
Meteoriparvi: Sporadinen
Meteoroidin rataelementit:
Perihelietäisyys: 0,917 AU
Eksentrisyys: 0,288
Inklinaatio: 5,2°
Nousevan solmun pituus: 301,0°
Perihelin argumentti: 226,0°
Keskianomalia: 334,5°
Epookki: 2016 JAN 21 20:54:24
orbit plot

Ei-interaktiivinen kuvaaja | Interaktiivinen kuvaaja

position vs time
speed and acceleration