🇳🇴 🇬🇧 🇩🇪 🇨🇿 🇫🇮

Meteor, poloha: Heggenes 2016-01-29 23:22:18 UTC

Soubor KML  |  InteraktivnĂ­ mapa

Mapa zobrazuje dráhy meteoru. Světlejší čáry ukazují směry od pozorovacích stanic při objevení se meteoru a tmavší čáry, kde byl naposledy viděn. Modrá šipka značí viditelnou dráhu meteoru.

static map
height profile
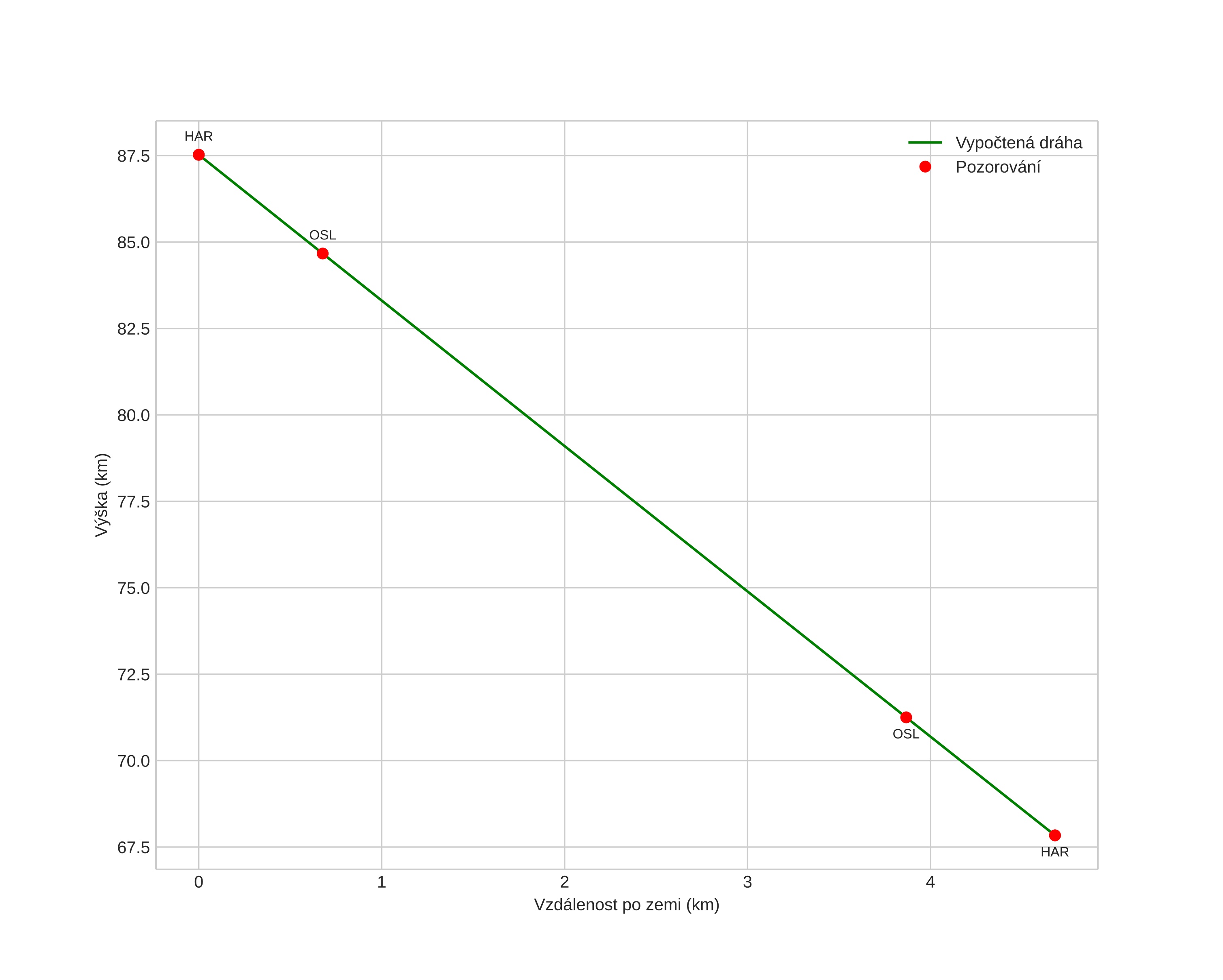
Atmosférická dráha meteoru:
Počáteční výška: 87,5 km
Konečná výška: 67,8 km
Počáteční poloha: 61,327N 9,296E
Konečná poloha: 61,288N 9,331E
Směr: 156,9°
Sklon: 76,6°
VstupnĂ­ rychlost: 19,4 km/s
Rektascenze radiantu: 06:59 (104,8°)
Deklinace radiantu: 73,5°
MeteorickĂ˝ roj: sporadickĂ˝
Elementy dráhy meteoroidu:
Vzdálenost v periheliu: 0,929 AU
Excentricita: 0,678
Sklon dráhy: 18,9°
Délka vzestupného uzlu: 309,3°
Argument perihelia: 210,8°
Střední anomálie: 355,5°
Epocha: 2016 JAN 29 23:22:18
orbit plot

NeinteraktivnĂ­ graf | InteraktivnĂ­ graf

position vs time
speed and acceleration