🇳🇴 🇬🇧 🇩🇪 🇨🇿 🇫🇮

Meteor Heggenesin yllä 2016-01-29 23:22:18 UTC

KML-tiedosto  |  Interaktiivinen kartta

Kartta näyttää meteorin suuntahavainnot. Vaaleammat viivat näyttävät suunnat havaintoasemilta meteorin ilmestyessä, ja tummemmat viivat näyttävät, missä se viimeksi nähtiin. Sininen nuoli näyttää meteorin näkyvän lennon.

static map
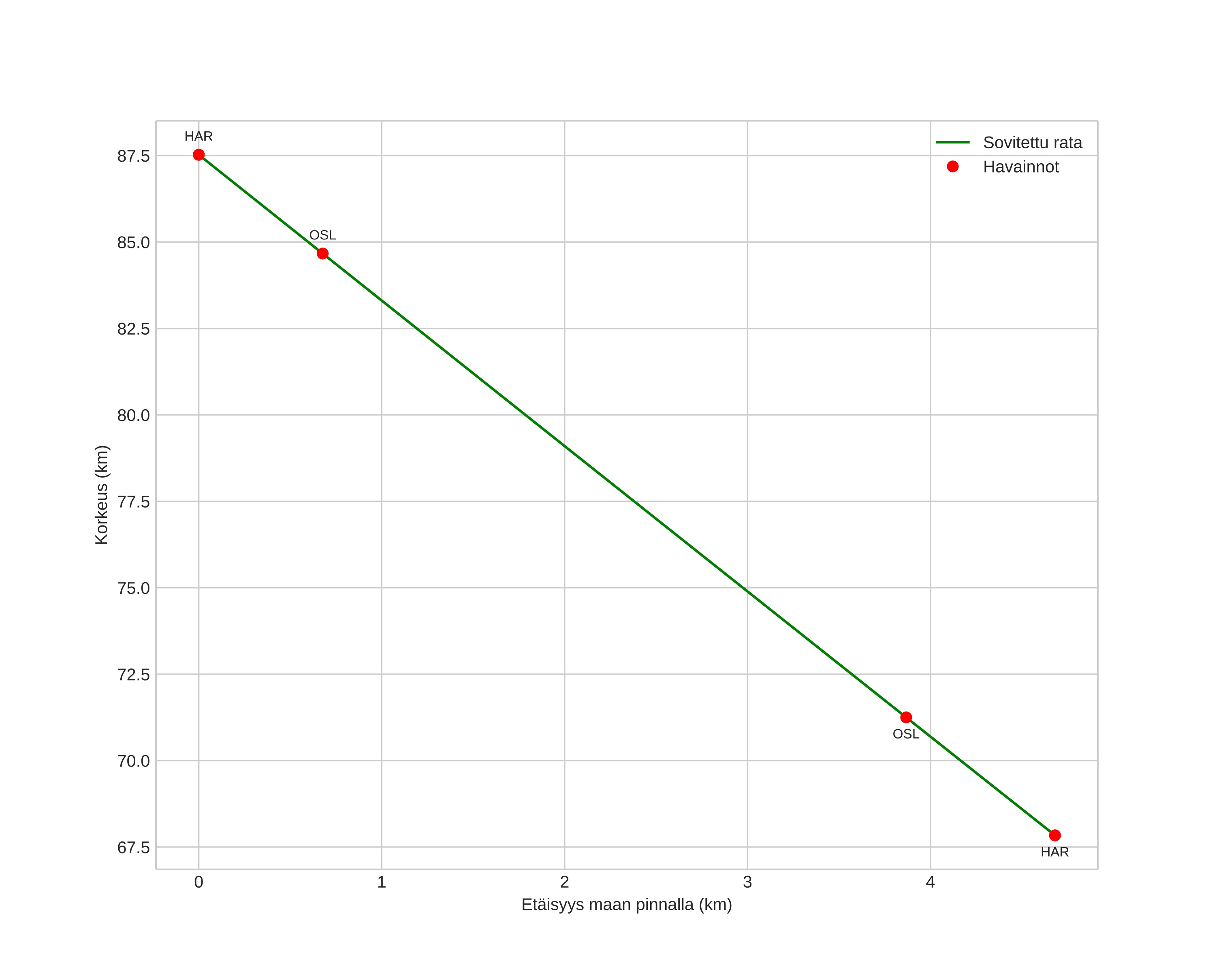
height profile
Meteorin ilmakehärata:
Alkukorkeus: 87,5 km
Loppukorkeus: 67,8 km
Alkupiste: 61,327N 9,296E
Loppupiste: 61,288N 9,331E
Suunta: 156,9°
Kallistuskulma: 76,6°
Tulonopeus: 19,4 km/s
Radiantin R,A,: 06:59 (104,8°)
Radiantin Dekl,: 73,5°
Meteoriparvi: Sporadinen
Meteoroidin rataelementit:
Perihelietäisyys: 0,929 AU
Eksentrisyys: 0,678
Inklinaatio: 18,9°
Nousevan solmun pituus: 309,3°
Perihelin argumentti: 210,8°
Keskianomalia: 355,5°
Epookki: 2016 JAN 29 23:22:18
orbit plot

Ei-interaktiivinen kuvaaja | Interaktiivinen kuvaaja

position vs time
speed and acceleration