🇳🇴 🇬🇧 🇩🇪 🇨🇿 🇫🇮

Meteor, poloha: Geilo 2016-02-12 01:59:14 UTC

Soubor KML  |  InteraktivnĂ­ mapa

Mapa zobrazuje dráhy meteoru. Světlejší čáry ukazují směry od pozorovacích stanic při objevení se meteoru a tmavší čáry, kde byl naposledy viděn. Modrá šipka značí viditelnou dráhu meteoru.

static map
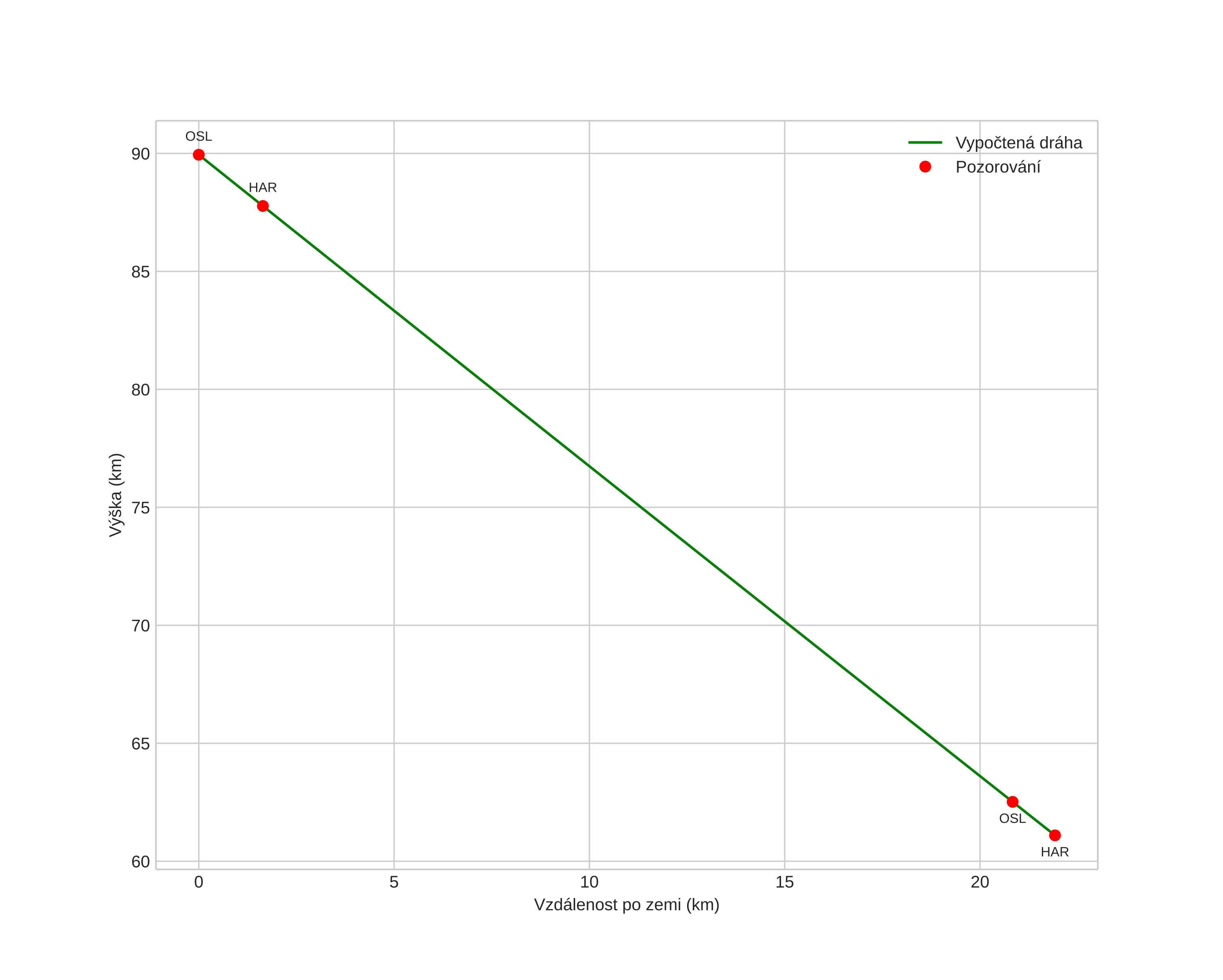
height profile
Atmosférická dráha meteoru:
Počáteční výška: 89,9 km
Konečná výška: 61,1 km
Počáteční poloha: 60,197N 8,595E
Konečná poloha: 60,132N 8,221E
Směr: 251,0°
Sklon: 52,7°
VstupnĂ­ rychlost: 39,2 km/s
Rektascenze radiantu: 16:36 (249,0°)
Deklinace radiantu: 51,7°
MeteorickĂ˝ roj: sporadickĂ˝
Elementy dráhy meteoroidu:
Vzdálenost v periheliu: 0,986 AU
Excentricita: 0,798
Sklon dráhy: 62,3°
Délka vzestupného uzlu: 322,6°
Argument perihelia: 184,2°
Střední anomálie: 359,7°
Epocha: 2016 FEB 12 01:59:14
orbit plot

NeinteraktivnĂ­ graf | InteraktivnĂ­ graf

position vs time
speed and acceleration