🇳🇴 🇬🇧 🇩🇪 🇨🇿 🇫🇮

Meteor Geilon yllä 2016-02-12 01:59:14 UTC

KML-tiedosto  |  Interaktiivinen kartta

Kartta näyttää meteorin suuntahavainnot. Vaaleammat viivat näyttävät suunnat havaintoasemilta meteorin ilmestyessä, ja tummemmat viivat näyttävät, missä se viimeksi nähtiin. Sininen nuoli näyttää meteorin näkyvän lennon.

static map
height profile
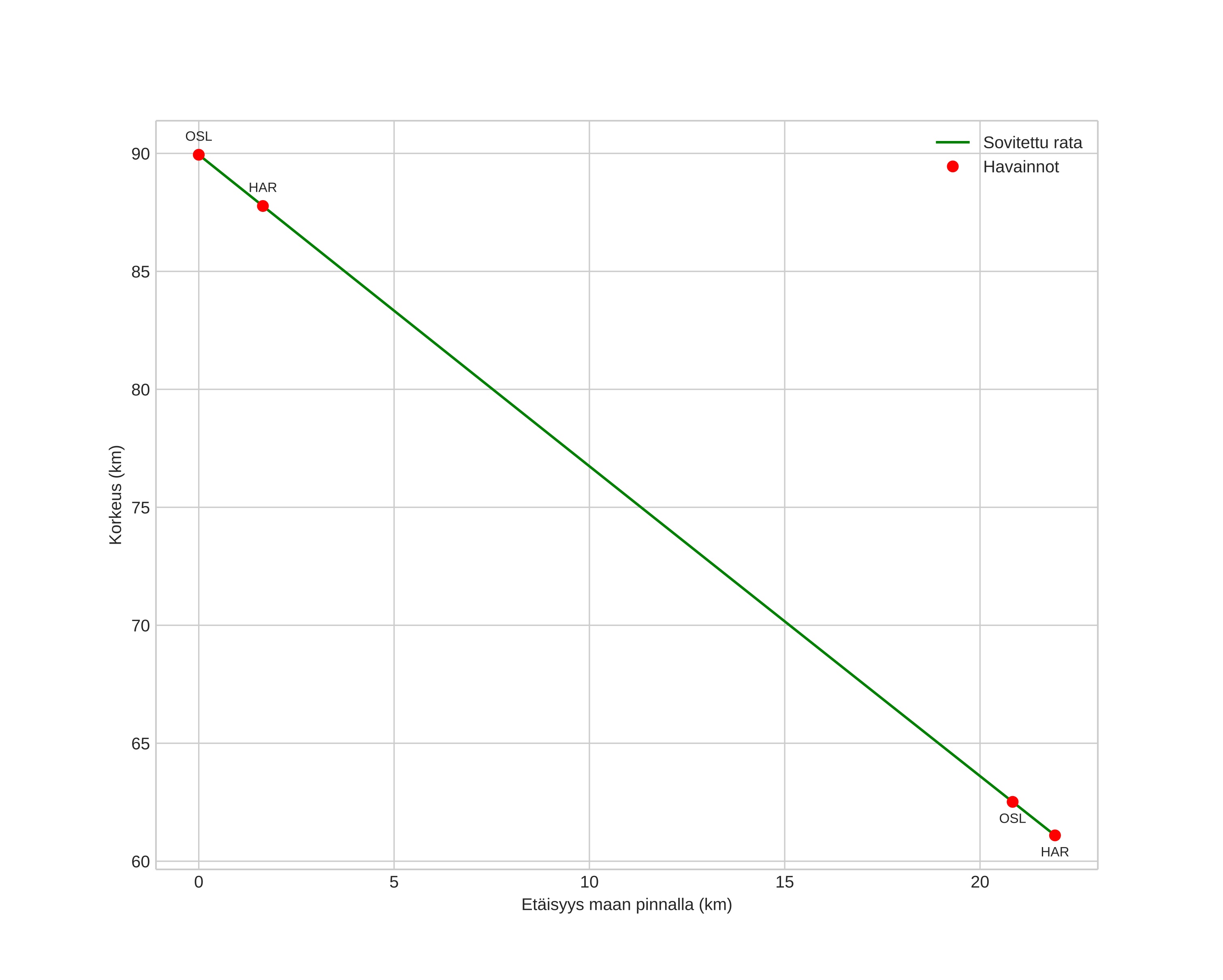
Meteorin ilmakehärata:
Alkukorkeus: 89,9 km
Loppukorkeus: 61,1 km
Alkupiste: 60,197N 8,595E
Loppupiste: 60,132N 8,221E
Suunta: 251,0°
Kallistuskulma: 52,7°
Tulonopeus: 39,2 km/s
Radiantin R,A,: 16:36 (249,0°)
Radiantin Dekl,: 51,7°
Meteoriparvi: Sporadinen
Meteoroidin rataelementit:
Perihelietäisyys: 0,986 AU
Eksentrisyys: 0,798
Inklinaatio: 62,3°
Nousevan solmun pituus: 322,6°
Perihelin argumentti: 184,2°
Keskianomalia: 359,7°
Epookki: 2016 FEB 12 01:59:14
orbit plot

Ei-interaktiivinen kuvaaja | Interaktiivinen kuvaaja

position vs time
speed and acceleration