🇳🇴 🇬🇧 🇩🇪 🇨🇿 🇫🇮

Meteor, poloha: Hov 2016-02-22 03:08:10 UTC

Soubor KML  |  InteraktivnĂ­ mapa

Mapa zobrazuje dráhy meteoru. Světlejší čáry ukazují směry od pozorovacích stanic při objevení se meteoru a tmavší čáry, kde byl naposledy viděn. Modrá šipka značí viditelnou dráhu meteoru.

static map
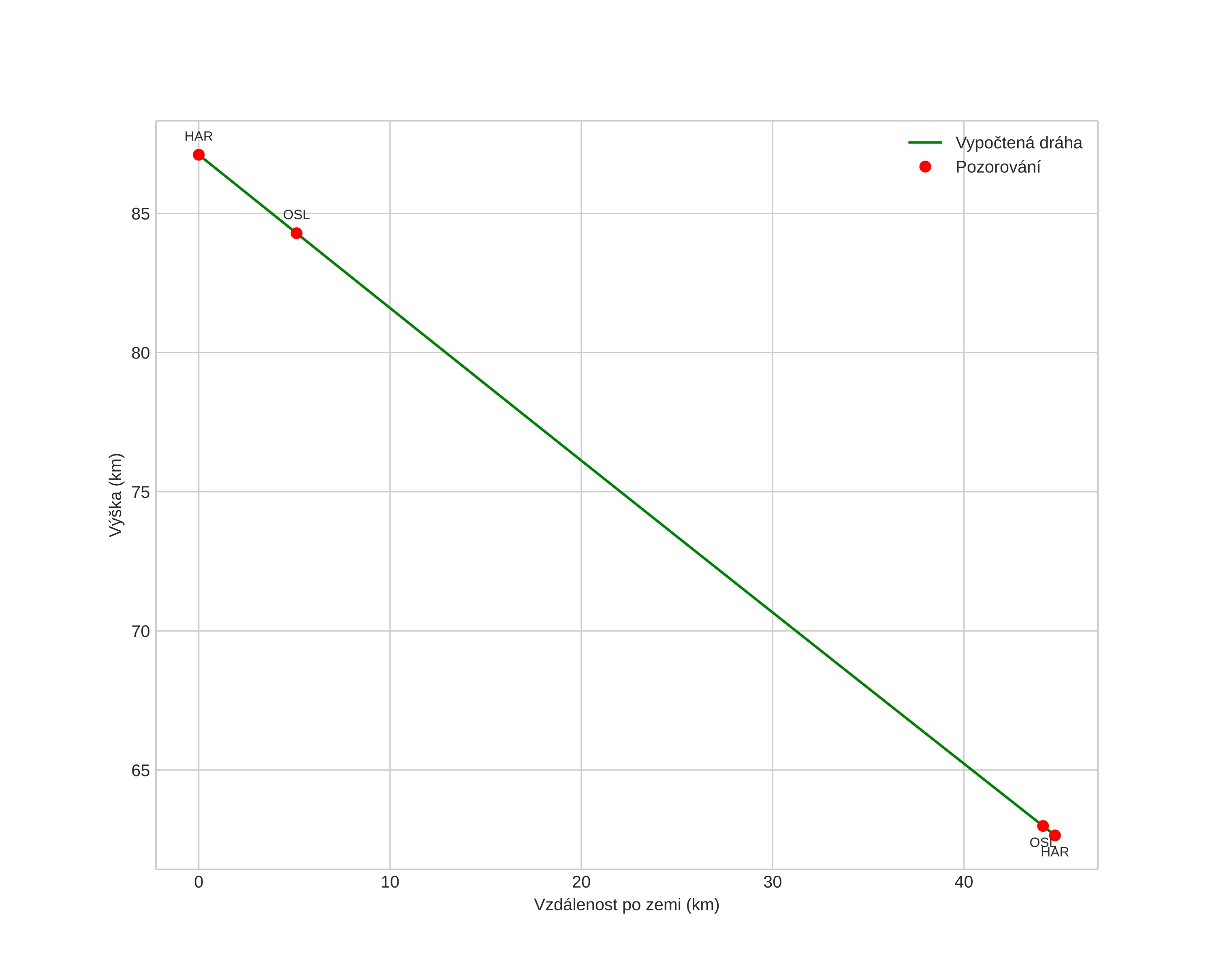
height profile
Atmosférická dráha meteoru:
Počáteční výška: 87,1 km
Konečná výška: 62,7 km
Počáteční poloha: 60,906N 10,636E
Konečná poloha: 60,523N 10,381E
Směr: 198,2°
Sklon: 28,6°
VstupnĂ­ rychlost: 16,5 km/s
Rektascenze radiantu: 00:19 (4,9°)
Deklinace radiantu: 45,8°
MeteorickĂ˝ roj: sporadickĂ˝
Elementy dráhy meteoroidu:
Vzdálenost v periheliu: 0,960 AU
Excentricita: 0,694
Sklon dráhy: 11,5°
Délka vzestupného uzlu: 332,7°
Argument perihelia: 158,3°
Střední anomálie: 2,9°
Epocha: 2016 FEB 22 03:08:10
orbit plot

NeinteraktivnĂ­ graf | InteraktivnĂ­ graf

position vs time
speed and acceleration