🇳🇴 🇬🇧 🇩🇪 🇨🇿 🇫🇮

Meteor Hovin yllä 2016-02-22 03:08:10 UTC

KML-tiedosto  |  Interaktiivinen kartta

Kartta näyttää meteorin suuntahavainnot. Vaaleammat viivat näyttävät suunnat havaintoasemilta meteorin ilmestyessä, ja tummemmat viivat näyttävät, missä se viimeksi nähtiin. Sininen nuoli näyttää meteorin näkyvän lennon.

static map
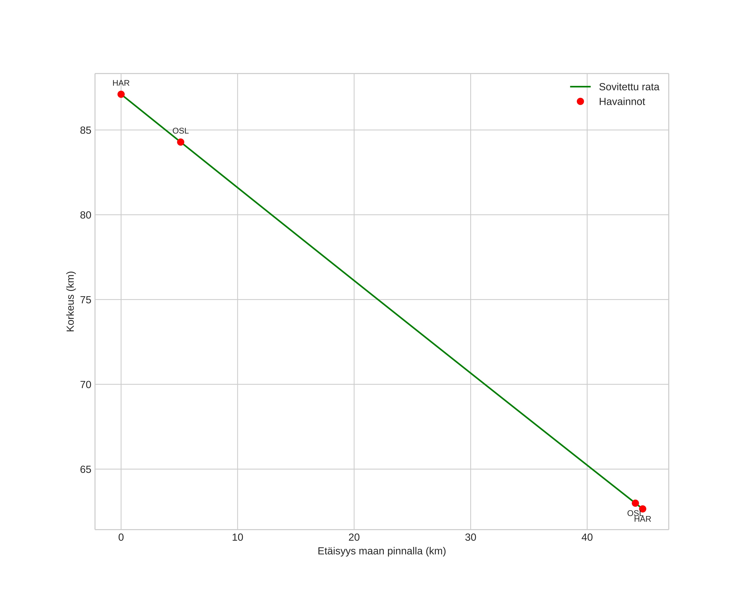
height profile
Meteorin ilmakehärata:
Alkukorkeus: 87,1 km
Loppukorkeus: 62,7 km
Alkupiste: 60,906N 10,636E
Loppupiste: 60,523N 10,381E
Suunta: 198,2°
Kallistuskulma: 28,6°
Tulonopeus: 16,5 km/s
Radiantin R,A,: 00:19 (4,9°)
Radiantin Dekl,: 45,8°
Meteoriparvi: Sporadinen
Meteoroidin rataelementit:
Perihelietäisyys: 0,960 AU
Eksentrisyys: 0,694
Inklinaatio: 11,5°
Nousevan solmun pituus: 332,7°
Perihelin argumentti: 158,3°
Keskianomalia: 2,9°
Epookki: 2016 FEB 22 03:08:10
orbit plot

Ei-interaktiivinen kuvaaja | Interaktiivinen kuvaaja

position vs time
speed and acceleration