🇳🇴 🇬🇧 🇩🇪 🇨🇿 🇫🇮

Meteor, poloha: Fjellfoten 2016-02-24 22:20:54 UTC

Soubor KML  |  InteraktivnĂ­ mapa

Mapa zobrazuje dráhy meteoru. Světlejší čáry ukazují směry od pozorovacích stanic při objevení se meteoru a tmavší čáry, kde byl naposledy viděn. Modrá šipka značí viditelnou dráhu meteoru.

static map
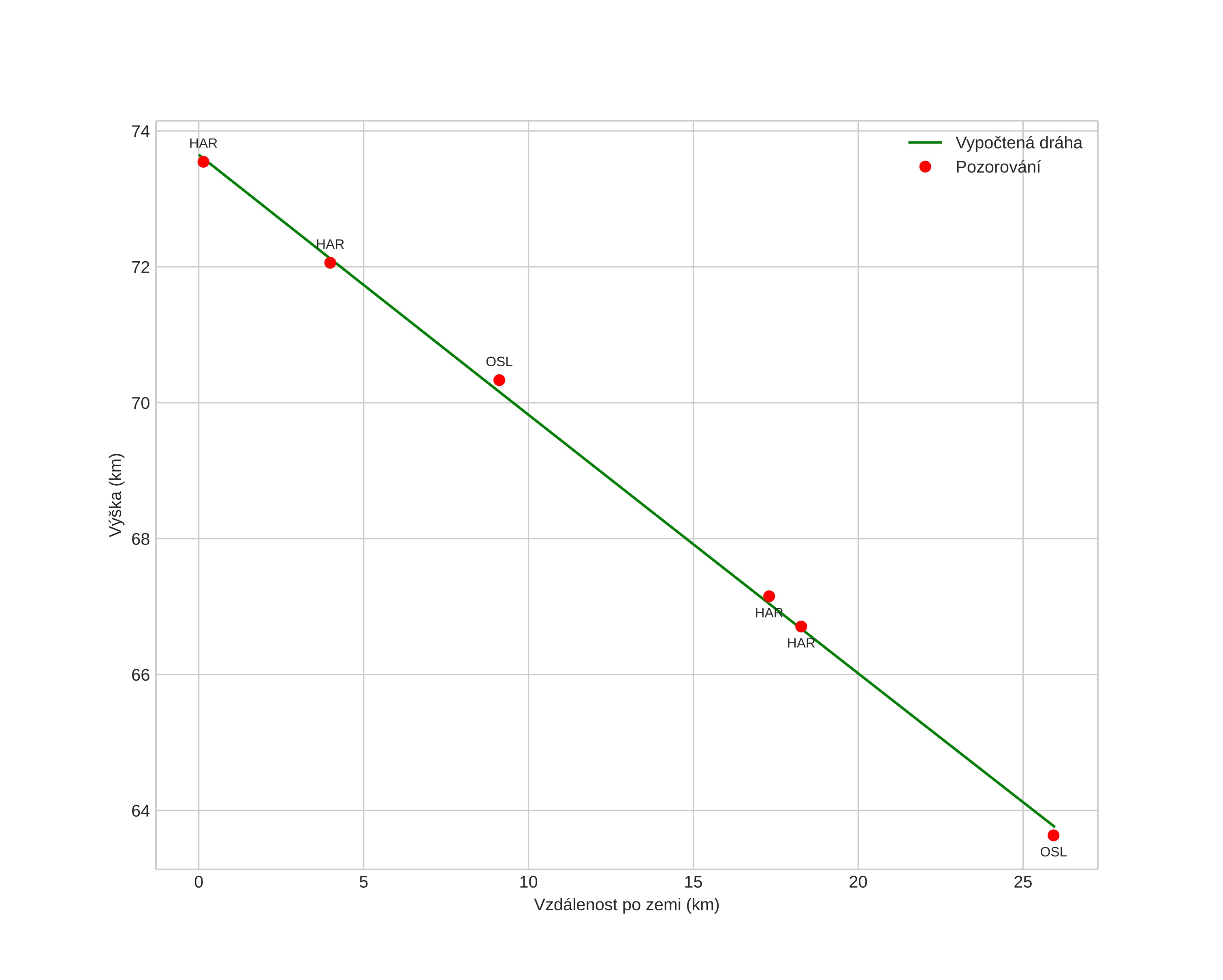
height profile
Atmosférická dráha meteoru:
Počáteční výška: 73,6 km
Konečná výška: 63,8 km
Počáteční poloha: 60,252N 11,710E
Konečná poloha: 60,032N 11,554E
Směr: 199,5°
Sklon: 20,7°
VstupnĂ­ rychlost: 17,4 km/s
Rektascenze radiantu: 19:48 (297,2°)
Deklinace radiantu: 38,1°
MeteorickĂ˝ roj: sporadickĂ˝
Elementy dráhy meteoroidu:
Vzdálenost v periheliu: 0,781 AU
Excentricita: 0,230
Sklon dráhy: 22,3°
Délka vzestupného uzlu: 335,5°
Argument perihelia: 82,5°
Střední anomálie: 71,0°
Epocha: 2016 FEB 24 22:20:54
orbit plot

NeinteraktivnĂ­ graf | InteraktivnĂ­ graf

position vs time
speed and acceleration