🇳🇴 🇬🇧 🇩🇪 🇨🇿 🇫🇮

Meteor Fjellfotenin yllä 2016-02-24 22:20:54 UTC

KML-tiedosto  |  Interaktiivinen kartta

Kartta näyttää meteorin suuntahavainnot. Vaaleammat viivat näyttävät suunnat havaintoasemilta meteorin ilmestyessä, ja tummemmat viivat näyttävät, missä se viimeksi nähtiin. Sininen nuoli näyttää meteorin näkyvän lennon.

static map
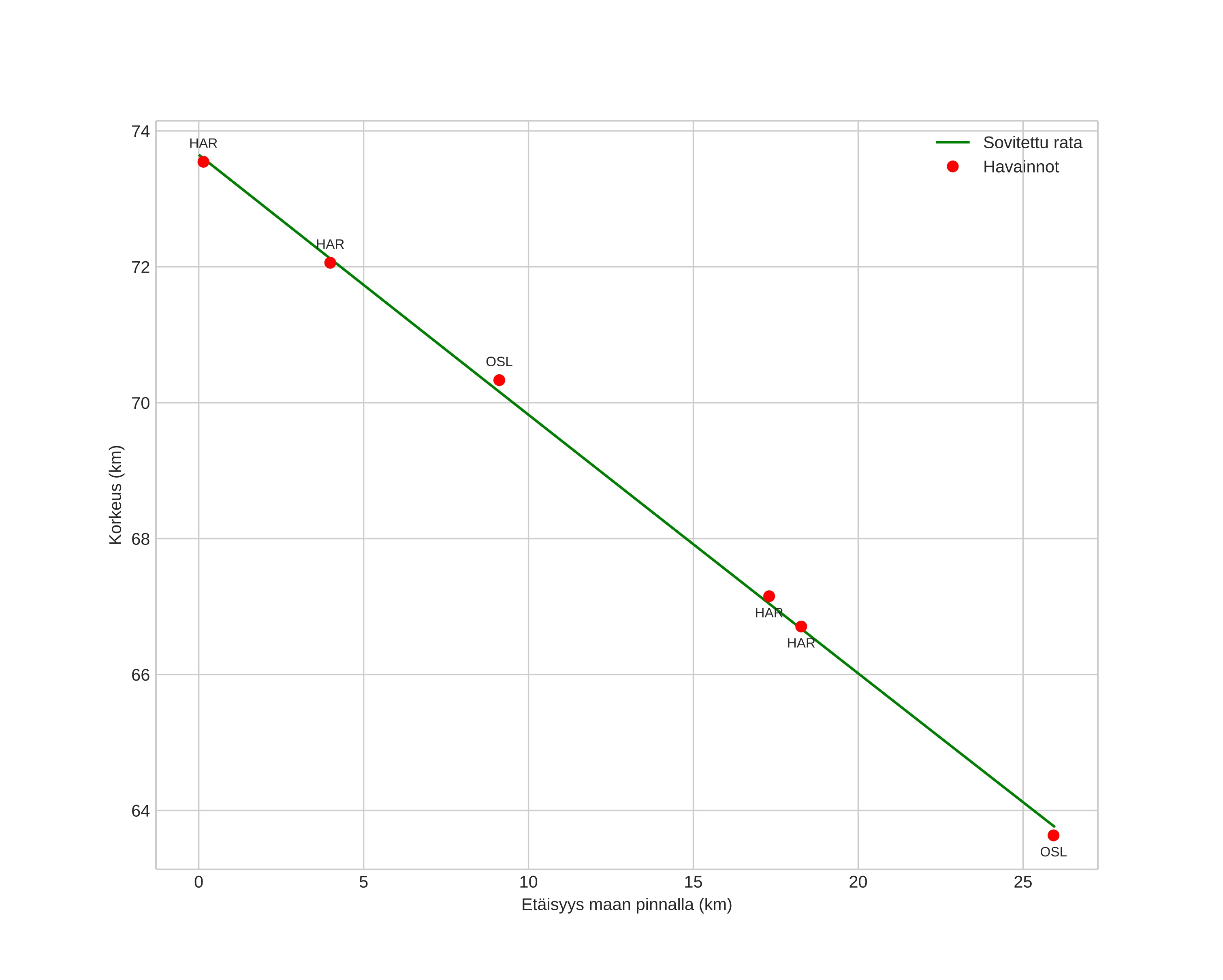
height profile
Meteorin ilmakehärata:
Alkukorkeus: 73,6 km
Loppukorkeus: 63,8 km
Alkupiste: 60,252N 11,710E
Loppupiste: 60,032N 11,554E
Suunta: 199,5°
Kallistuskulma: 20,7°
Tulonopeus: 17,4 km/s
Radiantin R,A,: 19:48 (297,2°)
Radiantin Dekl,: 38,1°
Meteoriparvi: Sporadinen
Meteoroidin rataelementit:
Perihelietäisyys: 0,781 AU
Eksentrisyys: 0,230
Inklinaatio: 22,3°
Nousevan solmun pituus: 335,5°
Perihelin argumentti: 82,5°
Keskianomalia: 71,0°
Epookki: 2016 FEB 24 22:20:54
orbit plot

Ei-interaktiivinen kuvaaja | Interaktiivinen kuvaaja

position vs time
speed and acceleration