🇳🇴 🇬🇧 🇩🇪 🇨🇿 🇫🇮

Meteor, poloha: Malung 2016-02-28 03:40:07 UTC

Soubor KML  |  InteraktivnĂ­ mapa

Mapa zobrazuje dráhy meteoru. Světlejší čáry ukazují směry od pozorovacích stanic při objevení se meteoru a tmavší čáry, kde byl naposledy viděn. Modrá šipka značí viditelnou dráhu meteoru.

static map
height profile
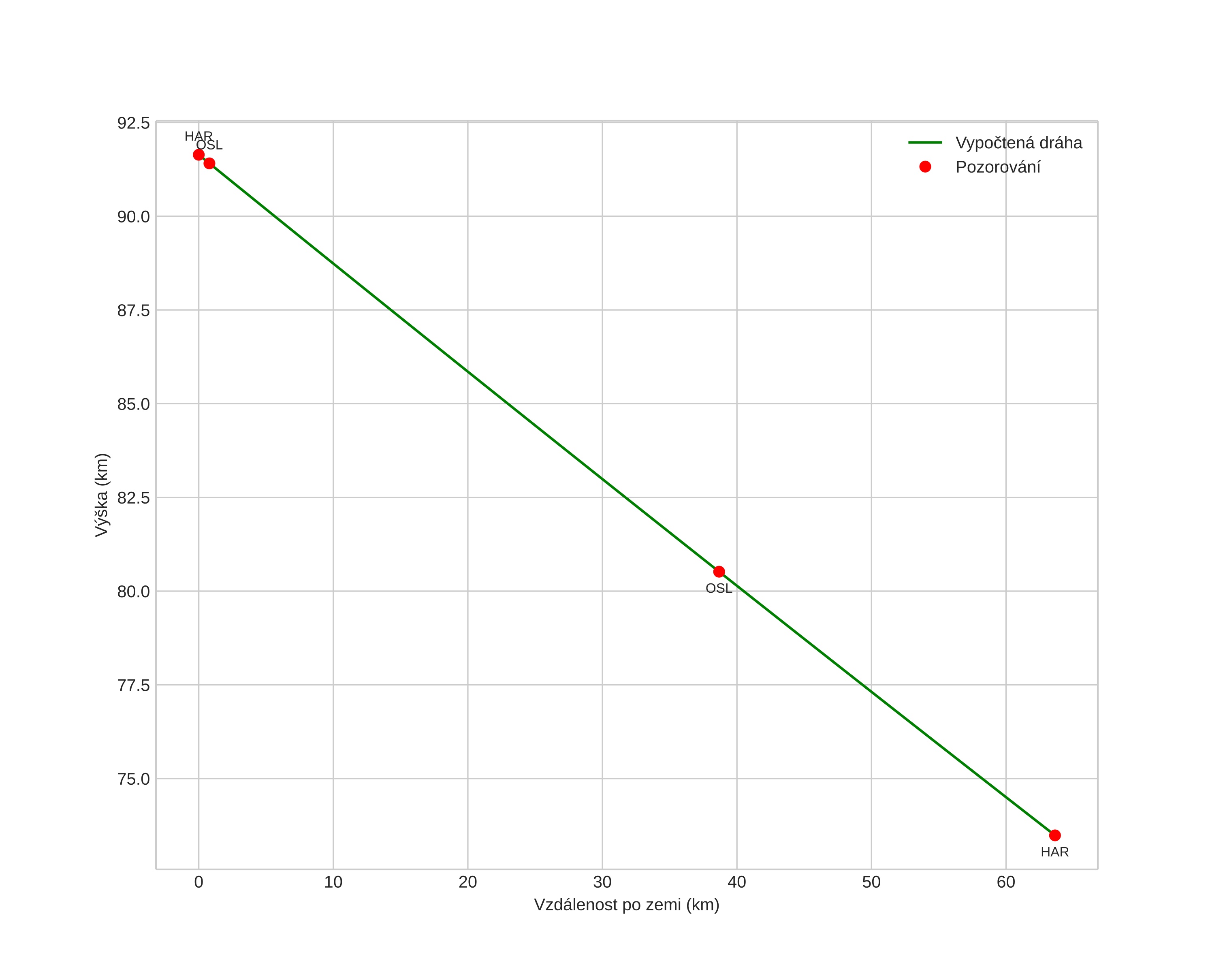
Atmosférická dráha meteoru:
Počáteční výška: 91,6 km
Konečná výška: 73,5 km
Počáteční poloha: 60,553N 13,043E
Konečná poloha: 60,978N 13,829E
Směr: 41,7°
Sklon: 15,9°
VstupnĂ­ rychlost: 43,2 km/s
Rektascenze radiantu: 12:17 (184,4°)
Deklinace radiantu: -7,9°
MeteorickĂ˝ roj: sporadickĂ˝
Elementy dráhy meteoroidu:
Vzdálenost v periheliu: 0,068 AU
Excentricita: 0,973
Sklon dráhy: 21,3°
Délka vzestupného uzlu: 158,8°
Argument perihelia: 152,7°
Střední anomálie: 352,0°
Epocha: 2016 FEB 28 03:40:07
orbit plot

NeinteraktivnĂ­ graf | InteraktivnĂ­ graf

position vs time
speed and acceleration