🇳🇴 🇬🇧 🇩🇪 🇨🇿 🇫🇮

Meteor Malungin yllä 2016-02-28 03:40:07 UTC

KML-tiedosto  |  Interaktiivinen kartta

Kartta näyttää meteorin suuntahavainnot. Vaaleammat viivat näyttävät suunnat havaintoasemilta meteorin ilmestyessä, ja tummemmat viivat näyttävät, missä se viimeksi nähtiin. Sininen nuoli näyttää meteorin näkyvän lennon.

static map
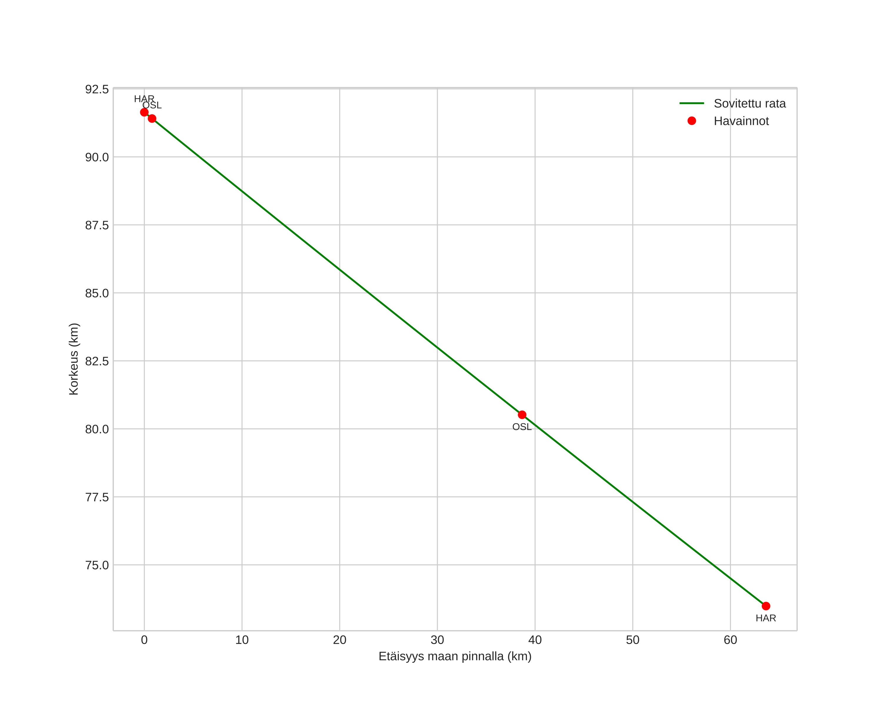
height profile
Meteorin ilmakehärata:
Alkukorkeus: 91,6 km
Loppukorkeus: 73,5 km
Alkupiste: 60,553N 13,043E
Loppupiste: 60,978N 13,829E
Suunta: 41,7°
Kallistuskulma: 15,9°
Tulonopeus: 43,2 km/s
Radiantin R,A,: 12:17 (184,4°)
Radiantin Dekl,: -7,9°
Meteoriparvi: Sporadinen
Meteoroidin rataelementit:
Perihelietäisyys: 0,068 AU
Eksentrisyys: 0,973
Inklinaatio: 21,3°
Nousevan solmun pituus: 158,8°
Perihelin argumentti: 152,7°
Keskianomalia: 352,0°
Epookki: 2016 FEB 28 03:40:07
orbit plot

Ei-interaktiivinen kuvaaja | Interaktiivinen kuvaaja

position vs time
speed and acceleration