🇳🇴 🇬🇧 🇩🇪 🇨🇿 🇫🇮

Meteor, poloha: Mölndal 2016-03-14 18:48:55 UTC

Soubor KML  |  InteraktivnĂ­ mapa

Mapa zobrazuje dráhy meteoru. Světlejší čáry ukazují směry od pozorovacích stanic při objevení se meteoru a tmavší čáry, kde byl naposledy viděn. Modrá šipka značí viditelnou dráhu meteoru.

static map
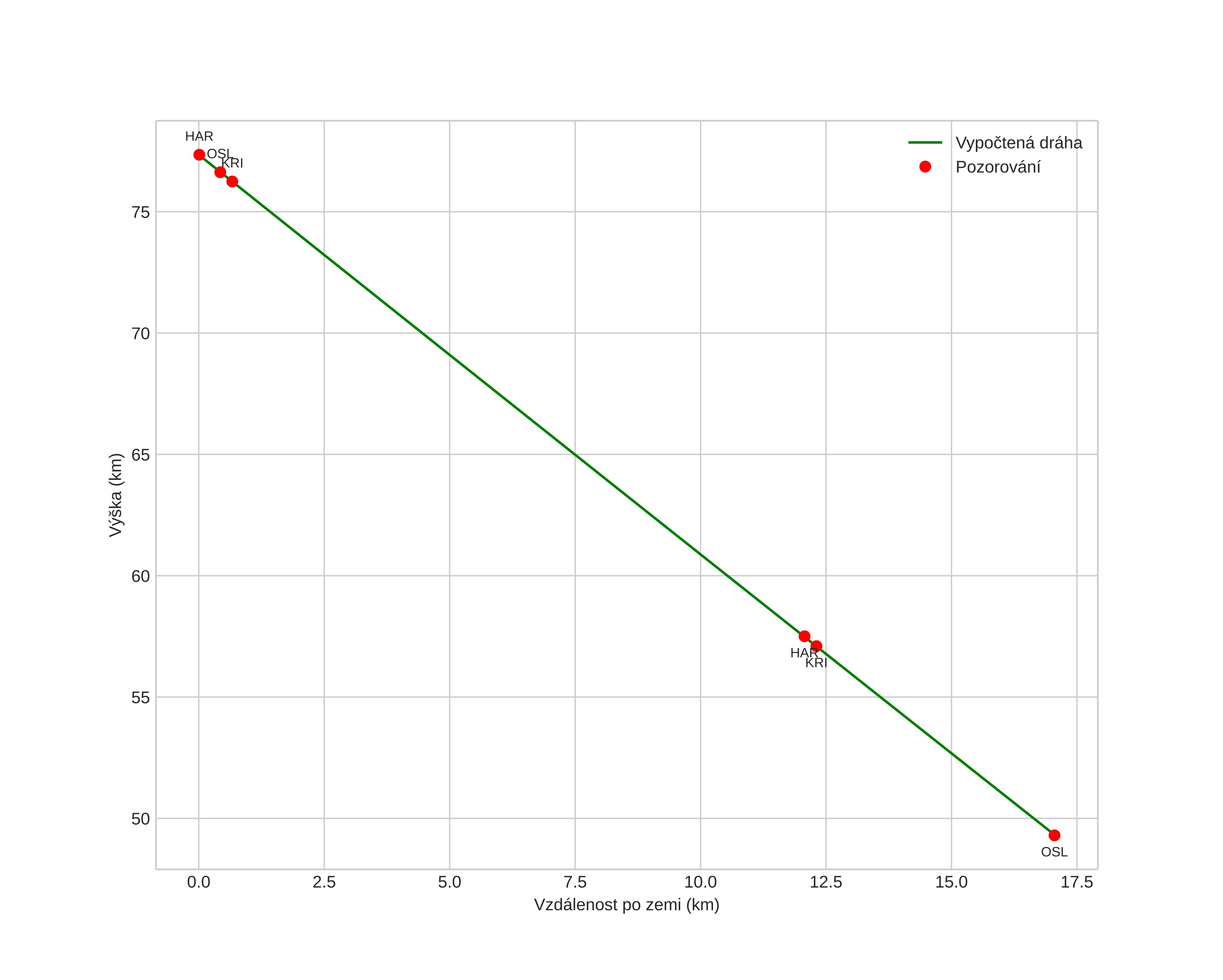
height profile
Atmosférická dráha meteoru:
Počáteční výška: 77,3 km
Konečná výška: 49,3 km
Počáteční poloha: 57,806N 12,016E
Konečná poloha: 57,653N 12,040E
Směr: 175,2°
Sklon: 58,6°
VstupnĂ­ rychlost: 17,2 km/s
Rektascenze radiantu: 22:24 (336,2°)
Deklinace radiantu: 85,0°
MeteorickĂ˝ roj: sporadickĂ˝
Elementy dráhy meteoroidu:
Vzdálenost v periheliu: 0,993 AU
Excentricita: 0,528
Sklon dráhy: 19,3°
Délka vzestupného uzlu: 354,4°
Argument perihelia: 175,3°
Střední anomálie: 1,2°
Epocha: 2016 MAR 14 18:48:55
orbit plot

NeinteraktivnĂ­ graf | InteraktivnĂ­ graf

position vs time
speed and acceleration