🇳🇴 🇬🇧 🇩🇪 🇨🇿 🇫🇮

Meteor Mölndalin yllä 2016-03-14 18:48:55 UTC

KML-tiedosto  |  Interaktiivinen kartta

Kartta näyttää meteorin suuntahavainnot. Vaaleammat viivat näyttävät suunnat havaintoasemilta meteorin ilmestyessä, ja tummemmat viivat näyttävät, missä se viimeksi nähtiin. Sininen nuoli näyttää meteorin näkyvän lennon.

static map
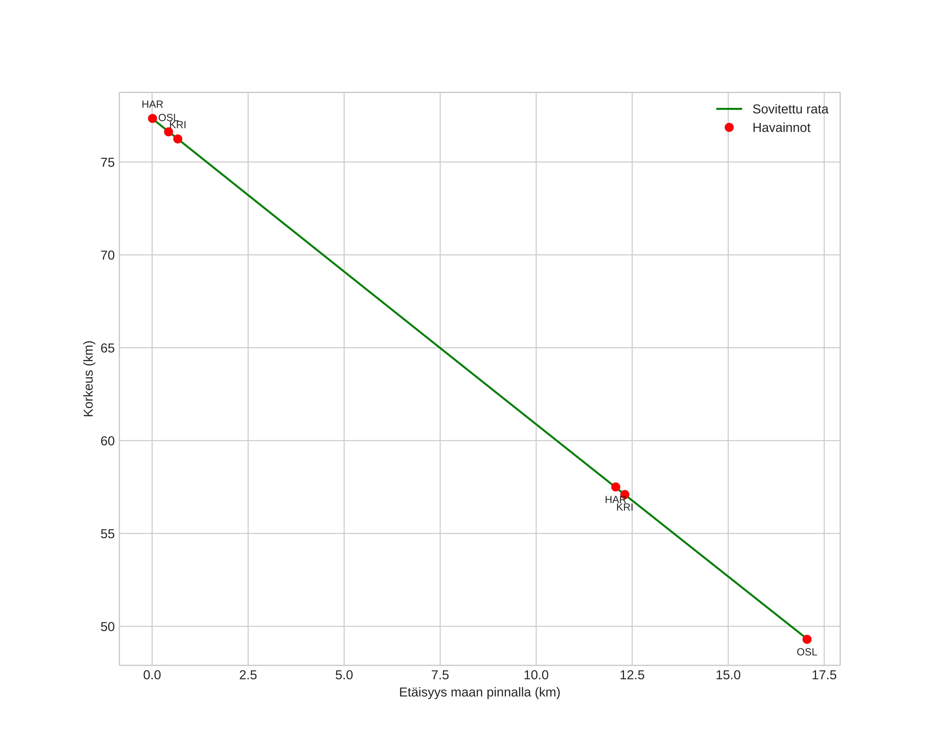
height profile
Meteorin ilmakehärata:
Alkukorkeus: 77,3 km
Loppukorkeus: 49,3 km
Alkupiste: 57,806N 12,016E
Loppupiste: 57,653N 12,040E
Suunta: 175,2°
Kallistuskulma: 58,6°
Tulonopeus: 17,2 km/s
Radiantin R,A,: 22:24 (336,2°)
Radiantin Dekl,: 85,0°
Meteoriparvi: Sporadinen
Meteoroidin rataelementit:
Perihelietäisyys: 0,993 AU
Eksentrisyys: 0,528
Inklinaatio: 19,3°
Nousevan solmun pituus: 354,4°
Perihelin argumentti: 175,3°
Keskianomalia: 1,2°
Epookki: 2016 MAR 14 18:48:55
orbit plot

Ei-interaktiivinen kuvaaja | Interaktiivinen kuvaaja

position vs time
speed and acceleration