🇳🇴 🇬🇧 🇩🇪 🇨🇿 🇫🇮

Meteor, poloha: Geilo 2016-03-18 01:37:43 UTC

Soubor KML  |  InteraktivnĂ­ mapa

Mapa zobrazuje dráhy meteoru. Světlejší čáry ukazují směry od pozorovacích stanic při objevení se meteoru a tmavší čáry, kde byl naposledy viděn. Modrá šipka značí viditelnou dráhu meteoru.

static map
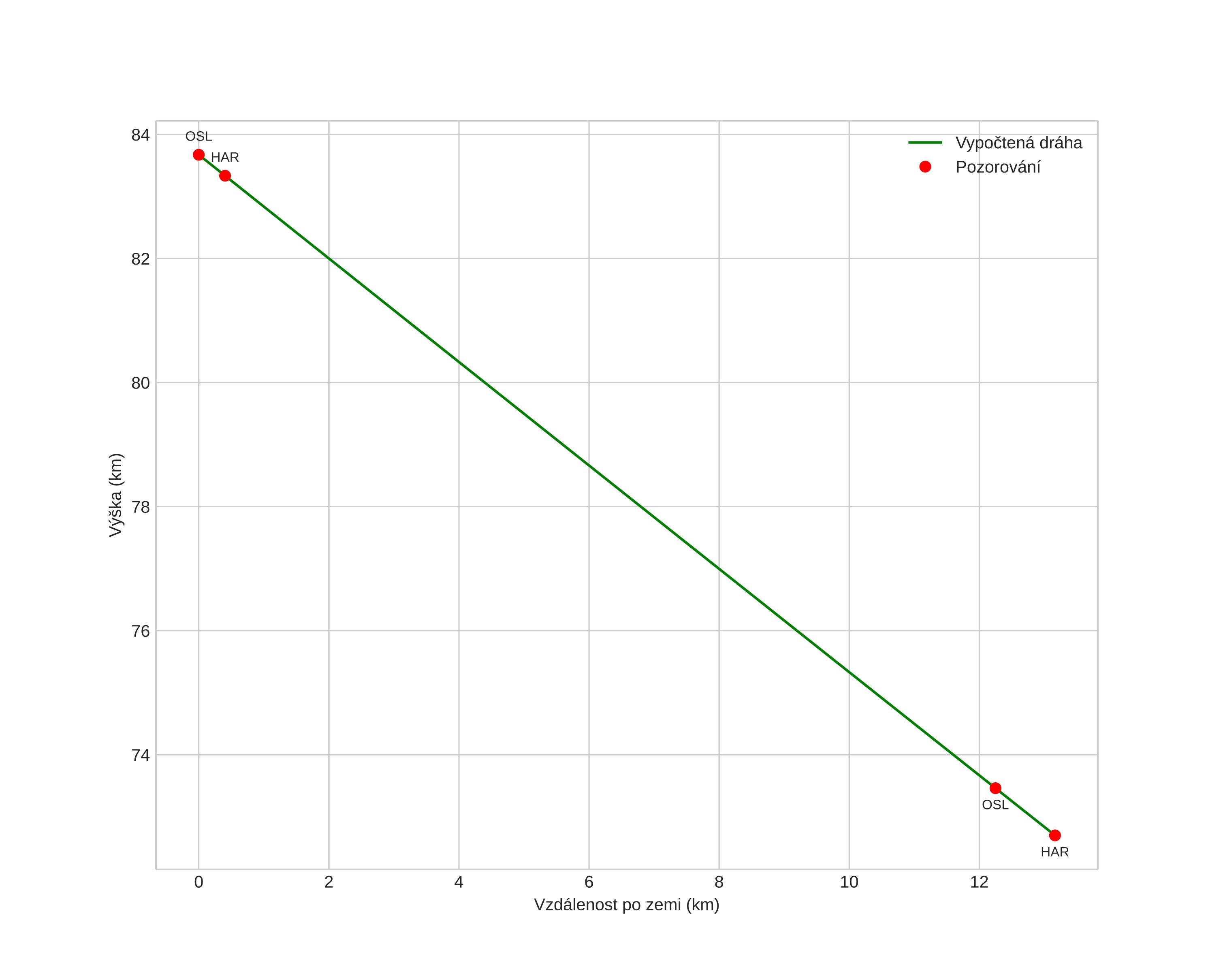
height profile
Atmosférická dráha meteoru:
Počáteční výška: 83,7 km
Konečná výška: 72,7 km
Počáteční poloha: 60,261N 7,820E
Konečná poloha: 60,347N 7,984E
Směr: 43,3°
Sklon: 39,9°
VstupnĂ­ rychlost: 18,9 km/s
Rektascenze radiantu: 11:28 (172,2°)
Deklinace radiantu: 11,0°
MeteorickĂ˝ roj: sporadickĂ˝
Elementy dráhy meteoroidu:
Vzdálenost v periheliu: 0,751 AU
Excentricita: 0,563
Sklon dráhy: 3,3°
Délka vzestupného uzlu: 357,7°
Argument perihelia: 251,4°
Střední anomálie: 339,8°
Epocha: 2016 MAR 18 01:37:43
orbit plot

NeinteraktivnĂ­ graf | InteraktivnĂ­ graf

position vs time
speed and acceleration