🇳🇴 🇬🇧 🇩🇪 🇨🇿 🇫🇮

Meteor Geilon yllä 2016-03-18 01:37:43 UTC

KML-tiedosto  |  Interaktiivinen kartta

Kartta näyttää meteorin suuntahavainnot. Vaaleammat viivat näyttävät suunnat havaintoasemilta meteorin ilmestyessä, ja tummemmat viivat näyttävät, missä se viimeksi nähtiin. Sininen nuoli näyttää meteorin näkyvän lennon.

static map
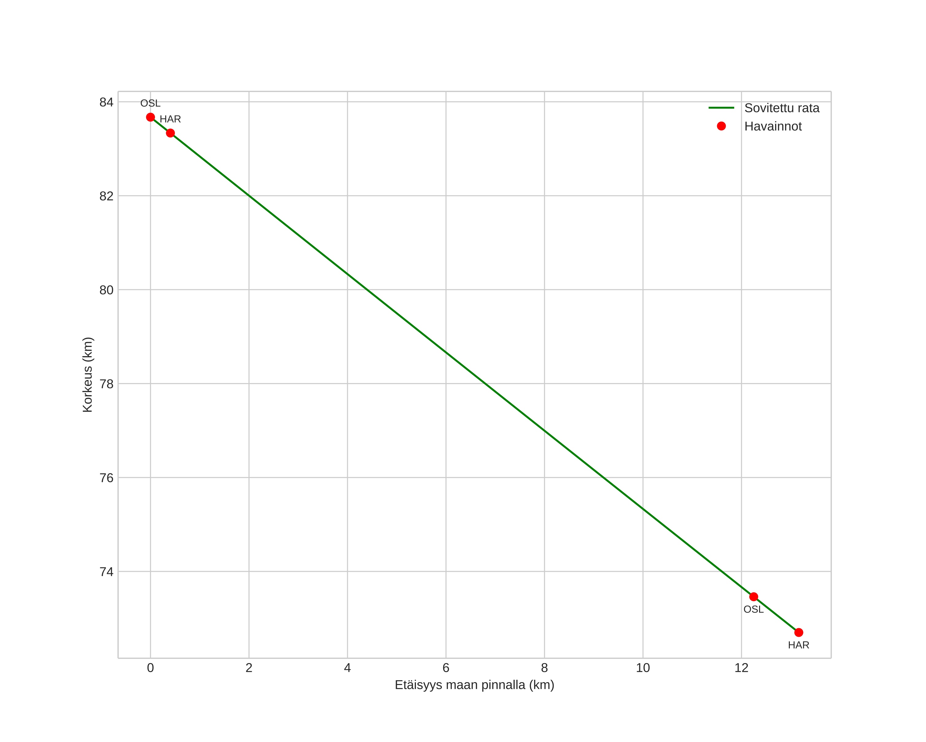
height profile
Meteorin ilmakehärata:
Alkukorkeus: 83,7 km
Loppukorkeus: 72,7 km
Alkupiste: 60,261N 7,820E
Loppupiste: 60,347N 7,984E
Suunta: 43,3°
Kallistuskulma: 39,9°
Tulonopeus: 18,9 km/s
Radiantin R,A,: 11:28 (172,2°)
Radiantin Dekl,: 11,0°
Meteoriparvi: Sporadinen
Meteoroidin rataelementit:
Perihelietäisyys: 0,751 AU
Eksentrisyys: 0,563
Inklinaatio: 3,3°
Nousevan solmun pituus: 357,7°
Perihelin argumentti: 251,4°
Keskianomalia: 339,8°
Epookki: 2016 MAR 18 01:37:43
orbit plot

Ei-interaktiivinen kuvaaja | Interaktiivinen kuvaaja

position vs time
speed and acceleration