🇳🇴 🇬🇧 🇩🇪 🇨🇿 🇫🇮

Meteor, poloha: Harboøre 2016-03-26 02:03:20 UTC

Soubor KML  |  InteraktivnĂ­ mapa

Mapa zobrazuje dráhy meteoru. Světlejší čáry ukazují směry od pozorovacích stanic při objevení se meteoru a tmavší čáry, kde byl naposledy viděn. Modrá šipka značí viditelnou dráhu meteoru.

static map
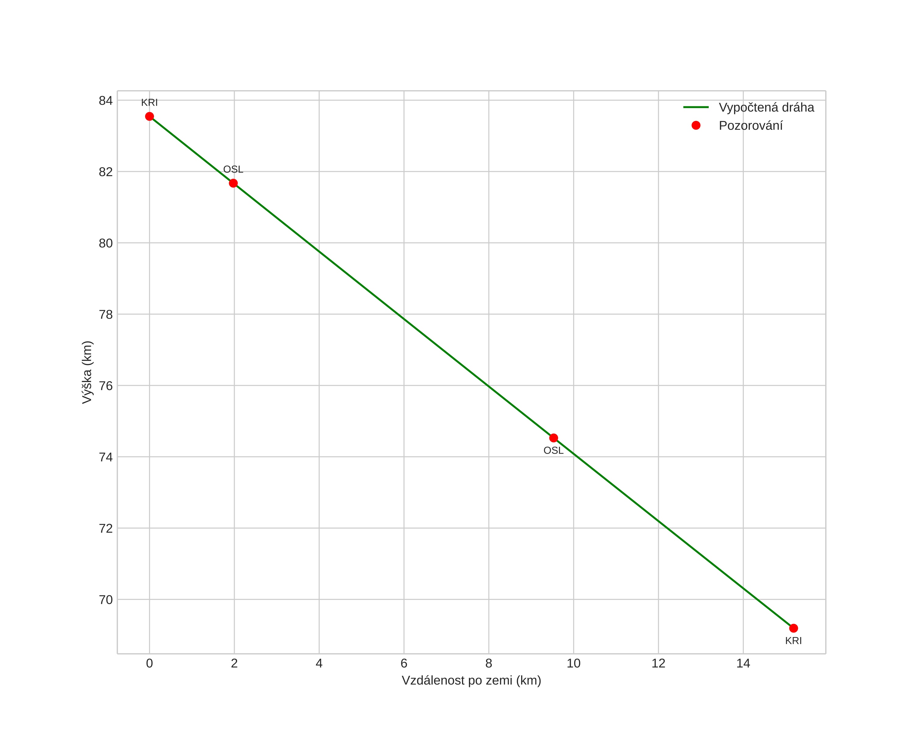
height profile
Atmosférická dráha meteoru:
Počáteční výška: 83,5 km
Konečná výška: 69,2 km
Počáteční poloha: 56,518N 7,763E
Konečná poloha: 56,542N 8,006E
Směr: 79,5°
Sklon: 43,3°
VstupnĂ­ rychlost: 19,5 km/s
Rektascenze radiantu: 10:51 (162,9°)
Deklinace radiantu: 25,8°
MeteorickĂ˝ roj: sporadickĂ˝
Elementy dráhy meteoroidu:
Vzdálenost v periheliu: 0,889 AU
Excentricita: 0,847
Sklon dráhy: 7,2°
Délka vzestupného uzlu: 5,6°
Argument perihelia: 220,3°
Střední anomálie: 358,1°
Epocha: 2016 MAR 26 02:03:20
orbit plot

NeinteraktivnĂ­ graf | InteraktivnĂ­ graf

position vs time
speed and acceleration