🇳🇴 🇬🇧 🇩🇪 🇨🇿 🇫🇮

Meteor Harboøren yllä 2016-03-26 02:03:20 UTC

KML-tiedosto  |  Interaktiivinen kartta

Kartta näyttää meteorin suuntahavainnot. Vaaleammat viivat näyttävät suunnat havaintoasemilta meteorin ilmestyessä, ja tummemmat viivat näyttävät, missä se viimeksi nähtiin. Sininen nuoli näyttää meteorin näkyvän lennon.

static map
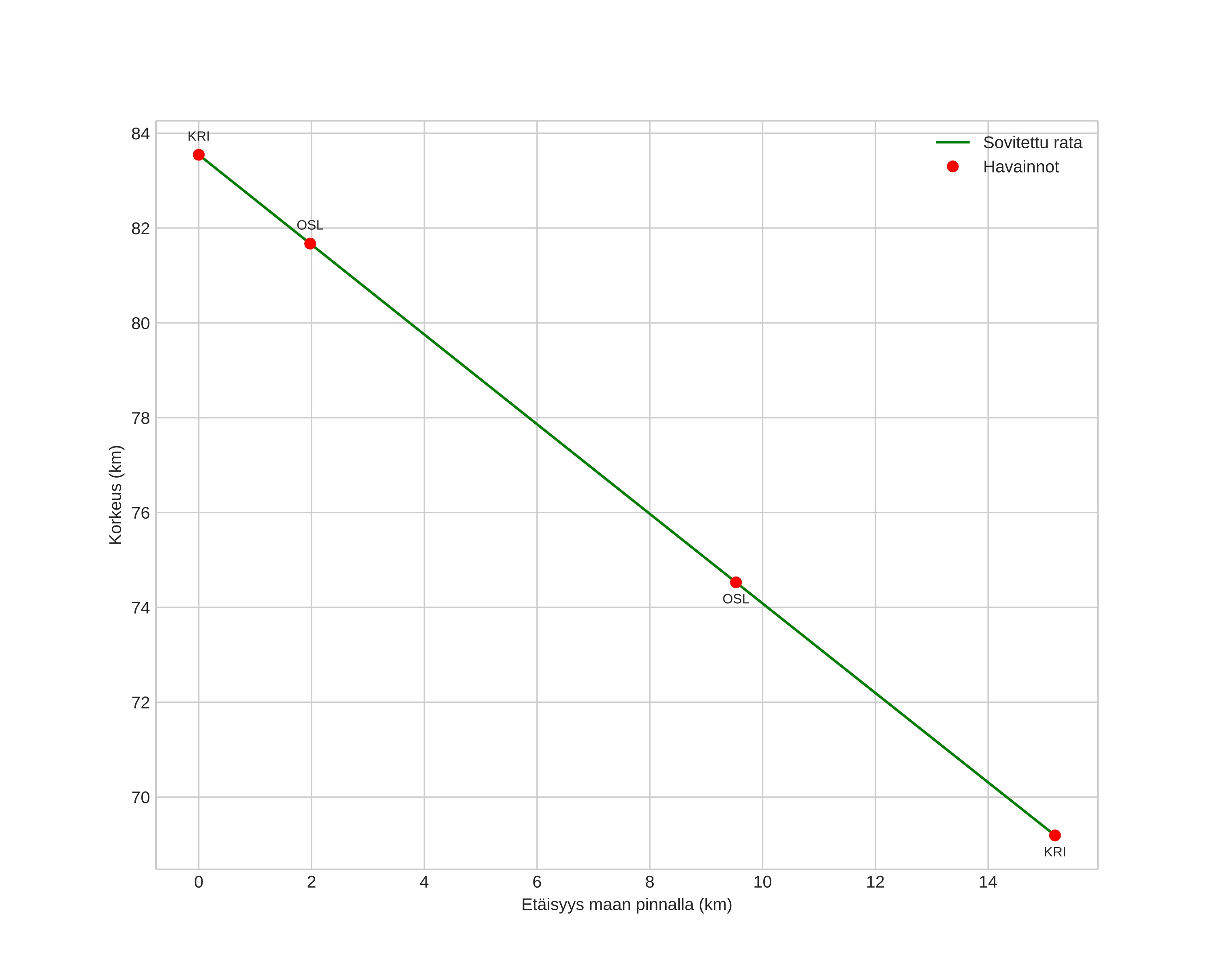
height profile
Meteorin ilmakehärata:
Alkukorkeus: 83,5 km
Loppukorkeus: 69,2 km
Alkupiste: 56,518N 7,763E
Loppupiste: 56,542N 8,006E
Suunta: 79,5°
Kallistuskulma: 43,3°
Tulonopeus: 19,5 km/s
Radiantin R,A,: 10:51 (162,9°)
Radiantin Dekl,: 25,8°
Meteoriparvi: Sporadinen
Meteoroidin rataelementit:
Perihelietäisyys: 0,889 AU
Eksentrisyys: 0,847
Inklinaatio: 7,2°
Nousevan solmun pituus: 5,6°
Perihelin argumentti: 220,3°
Keskianomalia: 358,1°
Epookki: 2016 MAR 26 02:03:20
orbit plot

Ei-interaktiivinen kuvaaja | Interaktiivinen kuvaaja

position vs time
speed and acceleration