🇳🇴 🇬🇧 🇩🇪 🇨🇿 🇫🇮

Meteor, poloha: Töcksfors 2016-03-31 02:46:13 UTC

Soubor KML  |  InteraktivnĂ­ mapa

Mapa zobrazuje dráhy meteoru. Světlejší čáry ukazují směry od pozorovacích stanic při objevení se meteoru a tmavší čáry, kde byl naposledy viděn. Modrá šipka značí viditelnou dráhu meteoru.

static map
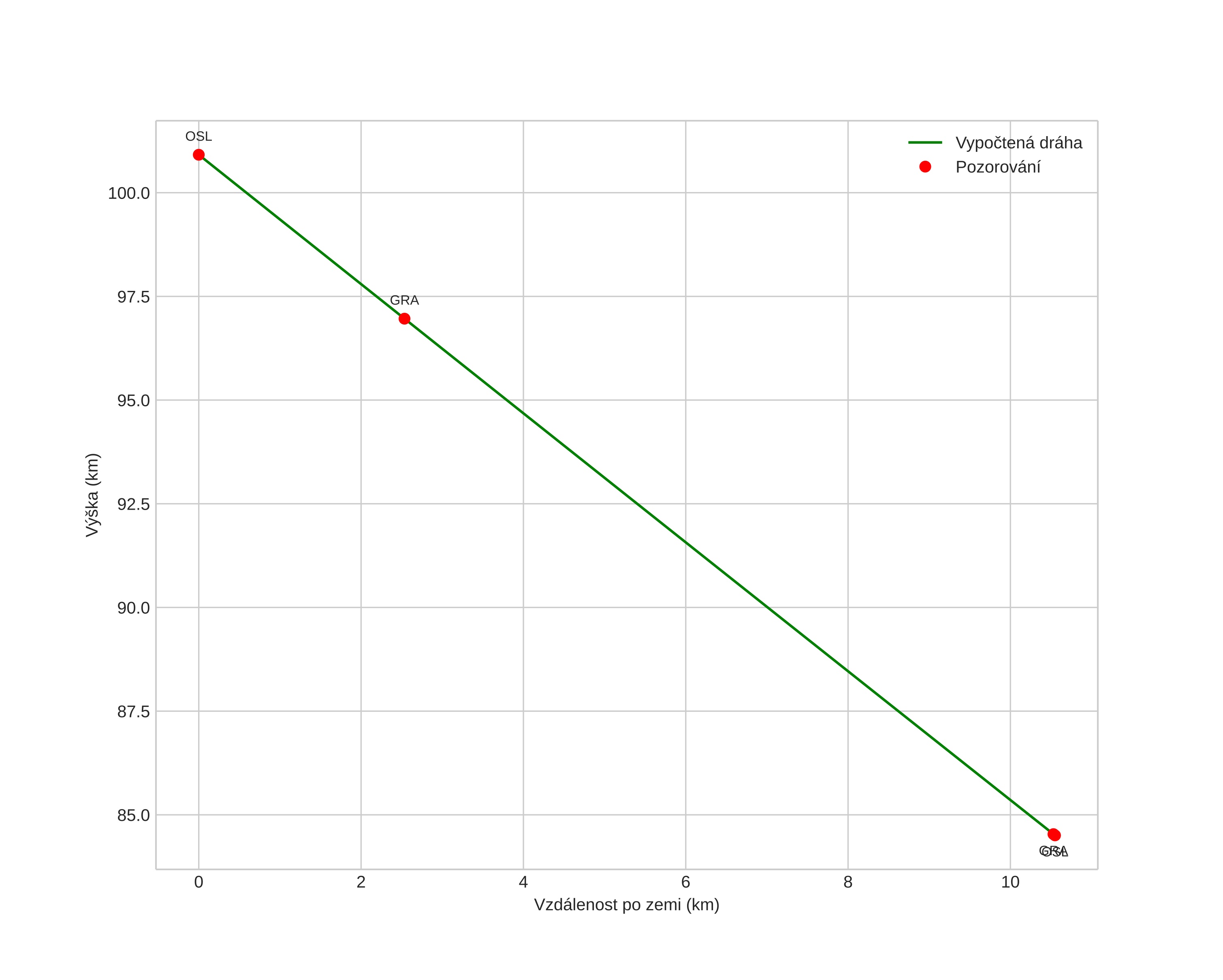
height profile
Atmosférická dráha meteoru:
Počáteční výška: 100,9 km
Konečná výška: 84,5 km
Počáteční poloha: 59,569N 11,969E
Konečná poloha: 59,519N 11,811E
Směr: 238,1°
Sklon: 57,2°
VstupnĂ­ rychlost: 34,4 km/s
Rektascenze radiantu: 20:48 (312,1°)
Deklinace radiantu: 60,2°
MeteorickĂ˝ roj: sporadickĂ˝
Elementy dráhy meteoroidu:
Vzdálenost v periheliu: 0,934 AU
Excentricita: 1,073
Sklon dráhy: 47,5°
Délka vzestupného uzlu: 10,6°
Argument perihelia: 150,9°
Střední anomálie: 0,4°
Epocha: 2016 MAR 31 02:46:13
orbit plot

NeinteraktivnĂ­ graf | InteraktivnĂ­ graf

position vs time
speed and acceleration