🇳🇴 🇬🇧 🇩🇪 🇨🇿 🇫🇮

Meteor Töcksforsin yllä 2016-03-31 02:46:13 UTC

KML-tiedosto  |  Interaktiivinen kartta

Kartta näyttää meteorin suuntahavainnot. Vaaleammat viivat näyttävät suunnat havaintoasemilta meteorin ilmestyessä, ja tummemmat viivat näyttävät, missä se viimeksi nähtiin. Sininen nuoli näyttää meteorin näkyvän lennon.

static map
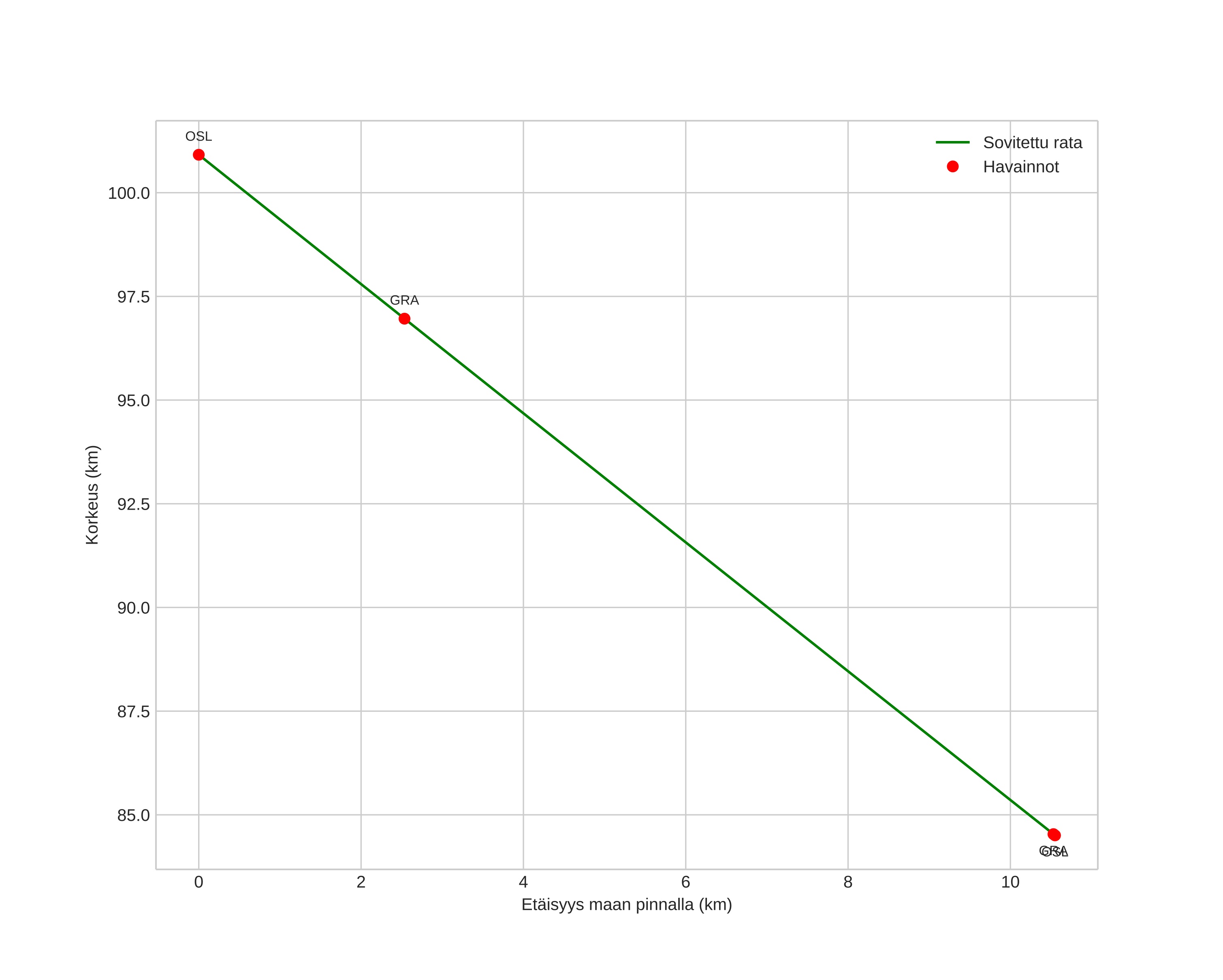
height profile
Meteorin ilmakehärata:
Alkukorkeus: 100,9 km
Loppukorkeus: 84,5 km
Alkupiste: 59,569N 11,969E
Loppupiste: 59,519N 11,811E
Suunta: 238,1°
Kallistuskulma: 57,2°
Tulonopeus: 34,4 km/s
Radiantin R,A,: 20:48 (312,1°)
Radiantin Dekl,: 60,2°
Meteoriparvi: Sporadinen
Meteoroidin rataelementit:
Perihelietäisyys: 0,934 AU
Eksentrisyys: 1,073
Inklinaatio: 47,5°
Nousevan solmun pituus: 10,6°
Perihelin argumentti: 150,9°
Keskianomalia: 0,4°
Epookki: 2016 MAR 31 02:46:13
orbit plot

Ei-interaktiivinen kuvaaja | Interaktiivinen kuvaaja

position vs time
speed and acceleration