🇳🇴 🇬🇧 🇩🇪 🇨🇿 🇫🇮

Meteor, poloha: Skoghall 2016-04-09 22:07:32 UTC

Soubor KML  |  InteraktivnĂ­ mapa

Mapa zobrazuje dráhy meteoru. Světlejší čáry ukazují směry od pozorovacích stanic při objevení se meteoru a tmavší čáry, kde byl naposledy viděn. Modrá šipka značí viditelnou dráhu meteoru.

static map
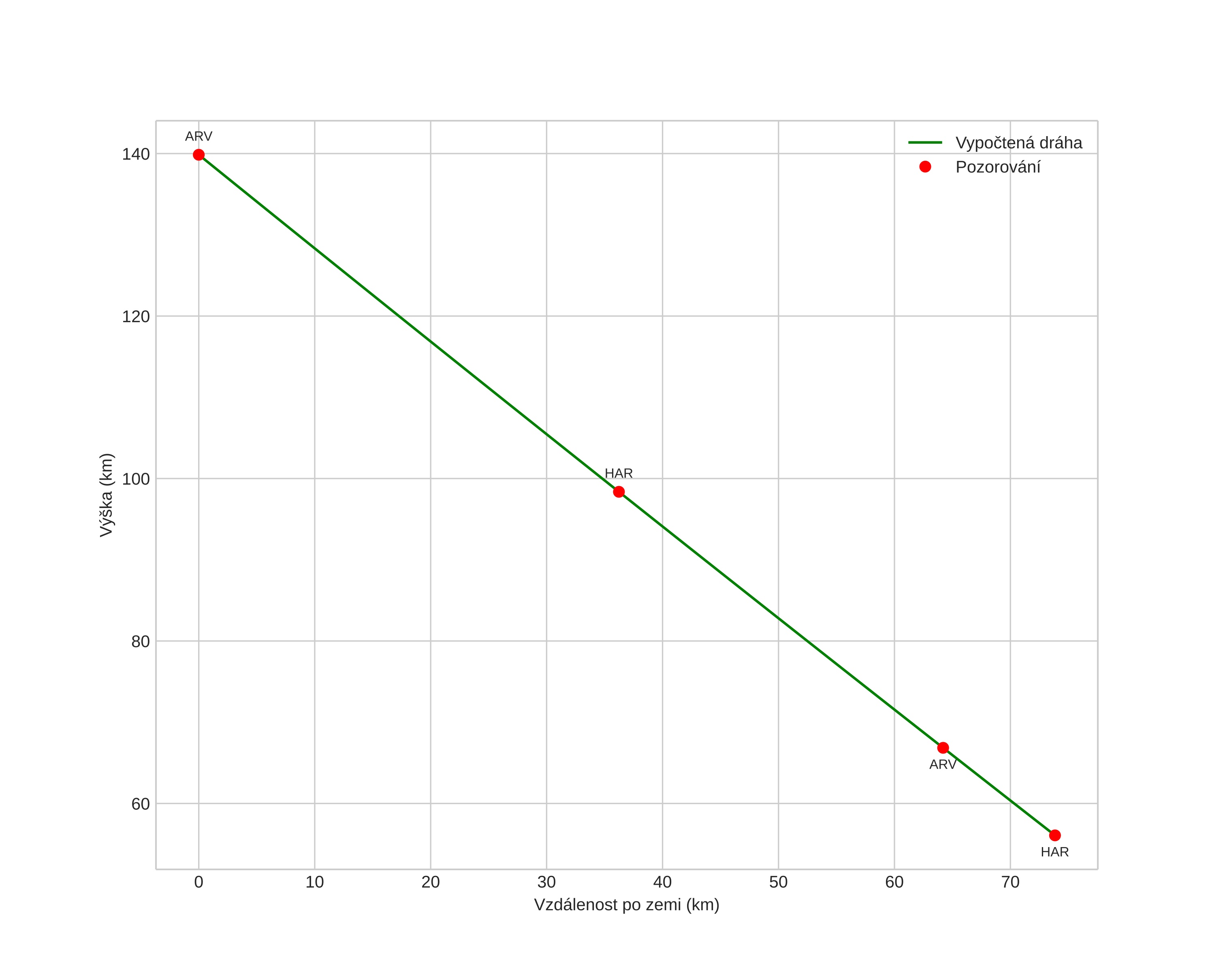
height profile
Atmosférická dráha meteoru:
Počáteční výška: 139,9 km
Konečná výška: 56,1 km
Počáteční poloha: 58,314N 13,764E
Konečná poloha: 58,948N 13,381E
Směr: 342,7°
Sklon: 48,6°
VstupnĂ­ rychlost: 25,9 km/s
Rektascenze radiantu: 13:02 (195,7°)
Deklinace radiantu: 15,8°
MeteorickĂ˝ roj: sporadickĂ˝
Elementy dráhy meteoroidu:
Vzdálenost v periheliu: 0,733 AU
Excentricita: 0,928
Sklon dráhy: 13,5°
Délka vzestupného uzlu: 20,3°
Argument perihelia: 243,8°
Střední anomálie: 358,9°
Epocha: 2016 APR 09 22:07:32
orbit plot

NeinteraktivnĂ­ graf | InteraktivnĂ­ graf

position vs time
speed and acceleration