🇳🇴 🇬🇧 🇩🇪 🇨🇿 🇫🇮

Meteor Skoghallin yllä 2016-04-09 22:07:32 UTC

KML-tiedosto  |  Interaktiivinen kartta

Kartta näyttää meteorin suuntahavainnot. Vaaleammat viivat näyttävät suunnat havaintoasemilta meteorin ilmestyessä, ja tummemmat viivat näyttävät, missä se viimeksi nähtiin. Sininen nuoli näyttää meteorin näkyvän lennon.

static map
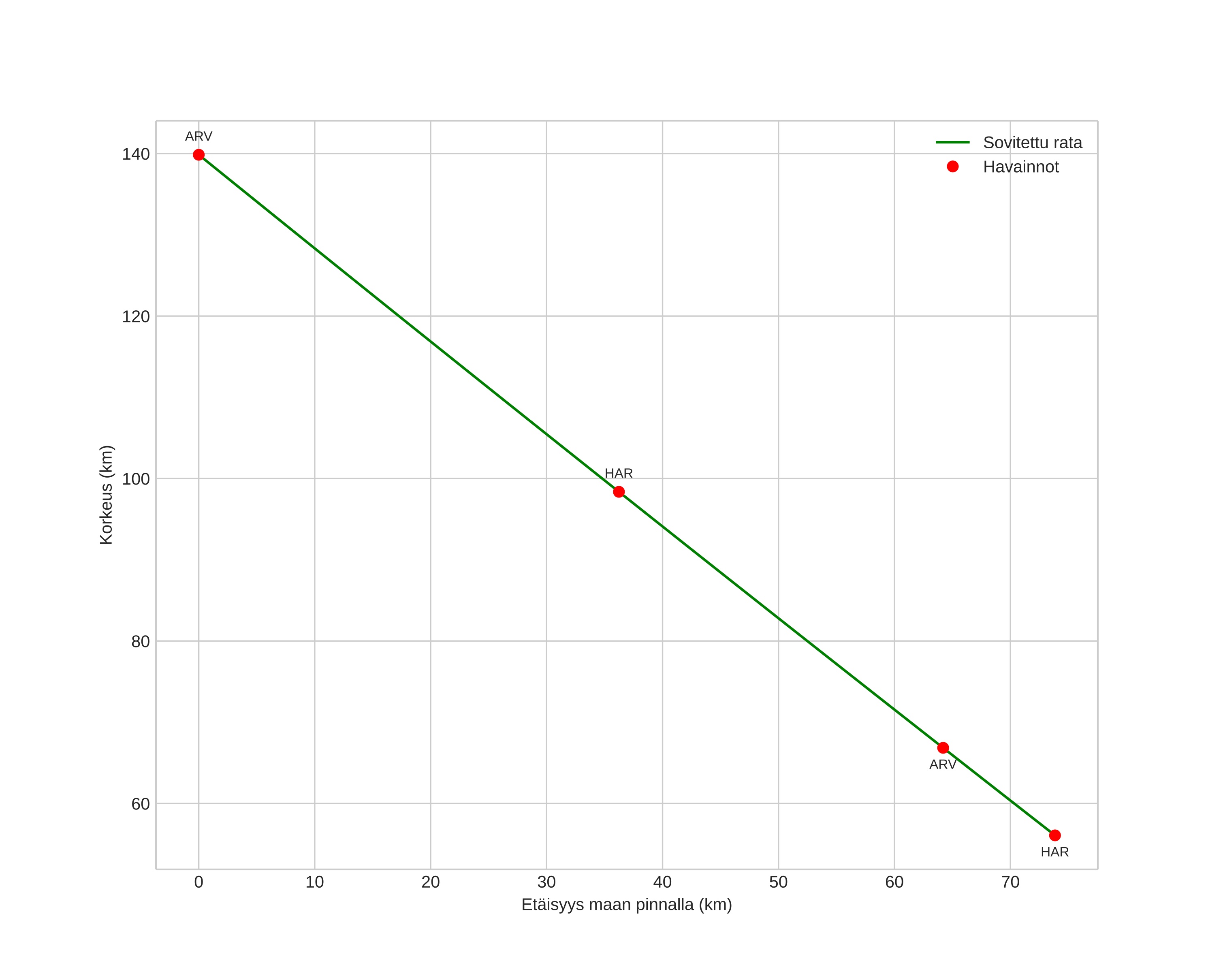
height profile
Meteorin ilmakehärata:
Alkukorkeus: 139,9 km
Loppukorkeus: 56,1 km
Alkupiste: 58,314N 13,764E
Loppupiste: 58,948N 13,381E
Suunta: 342,7°
Kallistuskulma: 48,6°
Tulonopeus: 25,9 km/s
Radiantin R,A,: 13:02 (195,7°)
Radiantin Dekl,: 15,8°
Meteoriparvi: Sporadinen
Meteoroidin rataelementit:
Perihelietäisyys: 0,733 AU
Eksentrisyys: 0,928
Inklinaatio: 13,5°
Nousevan solmun pituus: 20,3°
Perihelin argumentti: 243,8°
Keskianomalia: 358,9°
Epookki: 2016 APR 09 22:07:32
orbit plot

Ei-interaktiivinen kuvaaja | Interaktiivinen kuvaaja

position vs time
speed and acceleration