🇳🇴 🇬🇧 🇩🇪 🇨🇿 🇫🇮

Meteor, poloha: Fedje 2016-04-11 23:21:29 UTC

Soubor KML  |  InteraktivnĂ­ mapa

Mapa zobrazuje dráhy meteoru. Světlejší čáry ukazují směry od pozorovacích stanic při objevení se meteoru a tmavší čáry, kde byl naposledy viděn. Modrá šipka značí viditelnou dráhu meteoru.

static map
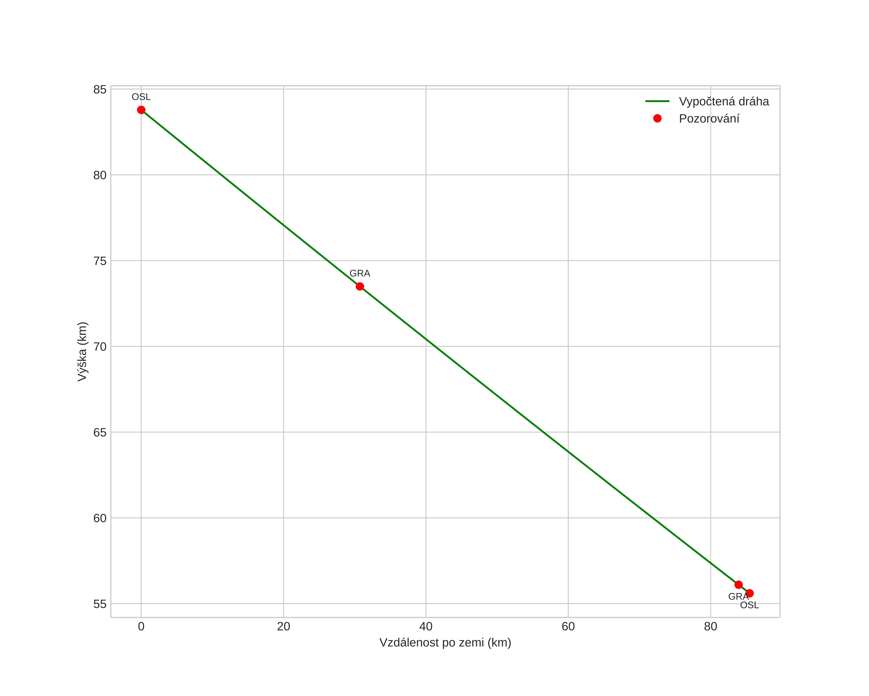
height profile
Atmosférická dráha meteoru:
Počáteční výška: 83,8 km
Konečná výška: 55,6 km
Počáteční poloha: 60,364N 3,971E
Konečná poloha: 61,060N 3,302E
Směr: 335,1°
Sklon: 18,3°
VstupnĂ­ rychlost: 31,5 km/s
Rektascenze radiantu: 14:34 (218,7°)
Deklinace radiantu: -11,5°
MeteorickĂ˝ roj: sporadickĂ˝
Elementy dráhy meteoroidu:
Vzdálenost v periheliu: 0,271 AU
Excentricita: 0,823
Sklon dráhy: 4,9°
Délka vzestupného uzlu: 22,3°
Argument perihelia: 308,1°
Střední anomálie: 337,5°
Epocha: 2016 APR 11 23:21:29
orbit plot

NeinteraktivnĂ­ graf | InteraktivnĂ­ graf

position vs time
speed and acceleration