🇳🇴 🇬🇧 🇩🇪 🇨🇿 🇫🇮

Meteor Fedjen yllä 2016-04-11 23:21:29 UTC

KML-tiedosto  |  Interaktiivinen kartta

Kartta näyttää meteorin suuntahavainnot. Vaaleammat viivat näyttävät suunnat havaintoasemilta meteorin ilmestyessä, ja tummemmat viivat näyttävät, missä se viimeksi nähtiin. Sininen nuoli näyttää meteorin näkyvän lennon.

static map
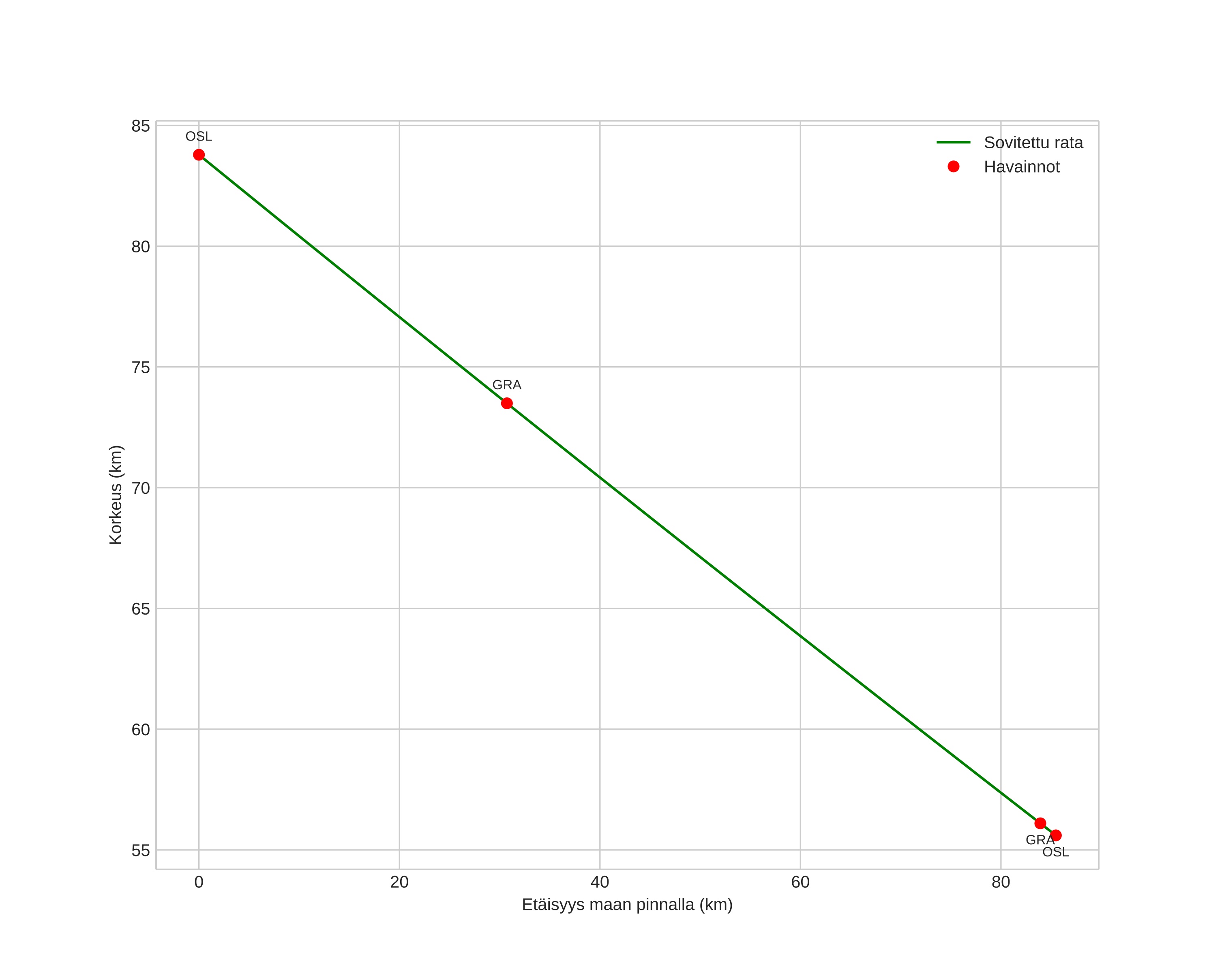
height profile
Meteorin ilmakehärata:
Alkukorkeus: 83,8 km
Loppukorkeus: 55,6 km
Alkupiste: 60,364N 3,971E
Loppupiste: 61,060N 3,302E
Suunta: 335,1°
Kallistuskulma: 18,3°
Tulonopeus: 31,5 km/s
Radiantin R,A,: 14:34 (218,7°)
Radiantin Dekl,: -11,5°
Meteoriparvi: Sporadinen
Meteoroidin rataelementit:
Perihelietäisyys: 0,271 AU
Eksentrisyys: 0,823
Inklinaatio: 4,9°
Nousevan solmun pituus: 22,3°
Perihelin argumentti: 308,1°
Keskianomalia: 337,5°
Epookki: 2016 APR 11 23:21:29
orbit plot

Ei-interaktiivinen kuvaaja | Interaktiivinen kuvaaja

position vs time
speed and acceleration