🇳🇴 🇬🇧 🇩🇪 🇨🇿 🇫🇮

Meteor, poloha: Flisa 2016-04-19 01:28:32 UTC

Soubor KML  |  InteraktivnĂ­ mapa

Mapa zobrazuje dráhy meteoru. Světlejší čáry ukazují směry od pozorovacích stanic při objevení se meteoru a tmavší čáry, kde byl naposledy viděn. Modrá šipka značí viditelnou dráhu meteoru.

static map
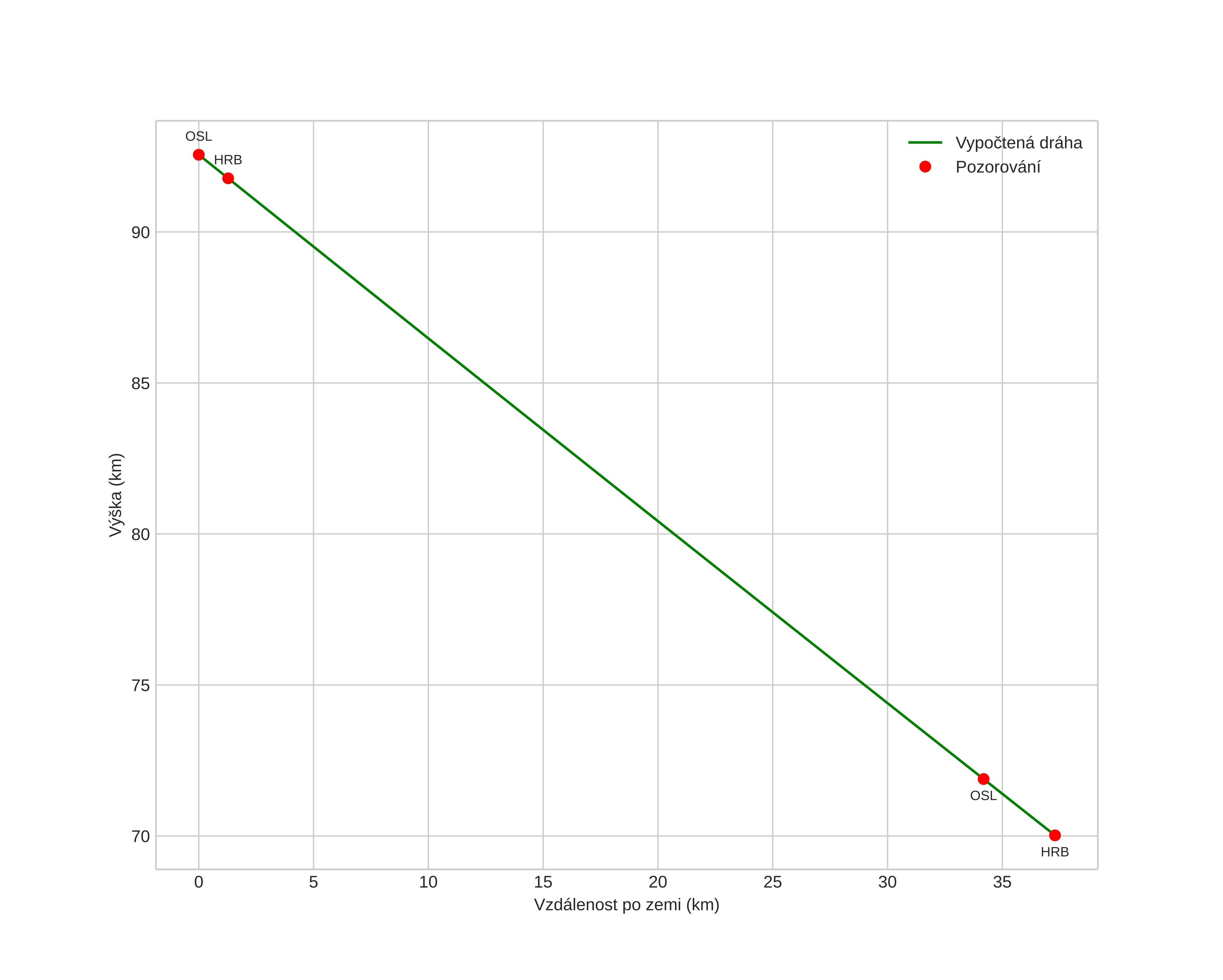
height profile
Atmosférická dráha meteoru:
Počáteční výška: 92,6 km
Konečná výška: 70,0 km
Počáteční poloha: 60,576N 11,727E
Konečná poloha: 60,815N 12,208E
Směr: 44,3°
Sklon: 31,2°
VstupnĂ­ rychlost: 21,8 km/s
Rektascenze radiantu: 13:27 (201,9°)
Deklinace radiantu: 4,2°
MeteorickĂ˝ roj: sporadickĂ˝
Elementy dráhy meteoroidu:
Vzdálenost v periheliu: 0,735 AU
Excentricita: 0,716
Sklon dráhy: 7,0°
Délka vzestupného uzlu: 29,2°
Argument perihelia: 249,1°
Střední anomálie: 350,0°
Epocha: 2016 APR 19 01:28:32
orbit plot

NeinteraktivnĂ­ graf | InteraktivnĂ­ graf

position vs time
speed and acceleration