🇳🇴 🇬🇧 🇩🇪 🇨🇿 🇫🇮

Meteor Flisan yllä 2016-04-19 01:28:32 UTC

KML-tiedosto  |  Interaktiivinen kartta

Kartta näyttää meteorin suuntahavainnot. Vaaleammat viivat näyttävät suunnat havaintoasemilta meteorin ilmestyessä, ja tummemmat viivat näyttävät, missä se viimeksi nähtiin. Sininen nuoli näyttää meteorin näkyvän lennon.

static map
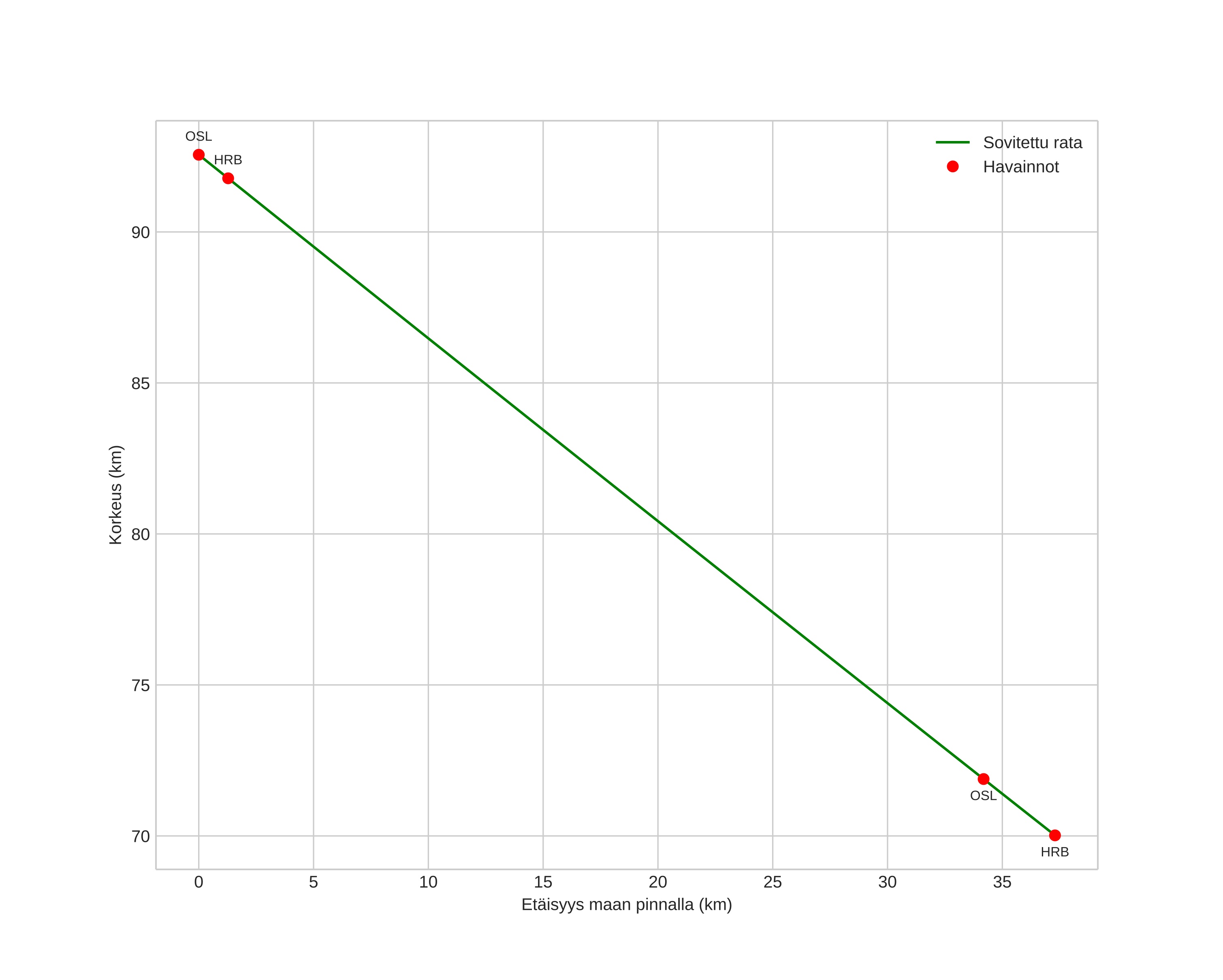
height profile
Meteorin ilmakehärata:
Alkukorkeus: 92,6 km
Loppukorkeus: 70,0 km
Alkupiste: 60,576N 11,727E
Loppupiste: 60,815N 12,208E
Suunta: 44,3°
Kallistuskulma: 31,2°
Tulonopeus: 21,8 km/s
Radiantin R,A,: 13:27 (201,9°)
Radiantin Dekl,: 4,2°
Meteoriparvi: Sporadinen
Meteoroidin rataelementit:
Perihelietäisyys: 0,735 AU
Eksentrisyys: 0,716
Inklinaatio: 7,0°
Nousevan solmun pituus: 29,2°
Perihelin argumentti: 249,1°
Keskianomalia: 350,0°
Epookki: 2016 APR 19 01:28:32
orbit plot

Ei-interaktiivinen kuvaaja | Interaktiivinen kuvaaja

position vs time
speed and acceleration