🇳🇴 🇬🇧 🇩🇪 🇨🇿 🇫🇮

Meteor, poloha: Spydeberg 2016-04-21 21:21:53 UTC

Soubor KML  |  InteraktivnĂ­ mapa

Mapa zobrazuje dráhy meteoru. Světlejší čáry ukazují směry od pozorovacích stanic při objevení se meteoru a tmavší čáry, kde byl naposledy viděn. Modrá šipka značí viditelnou dráhu meteoru.

static map
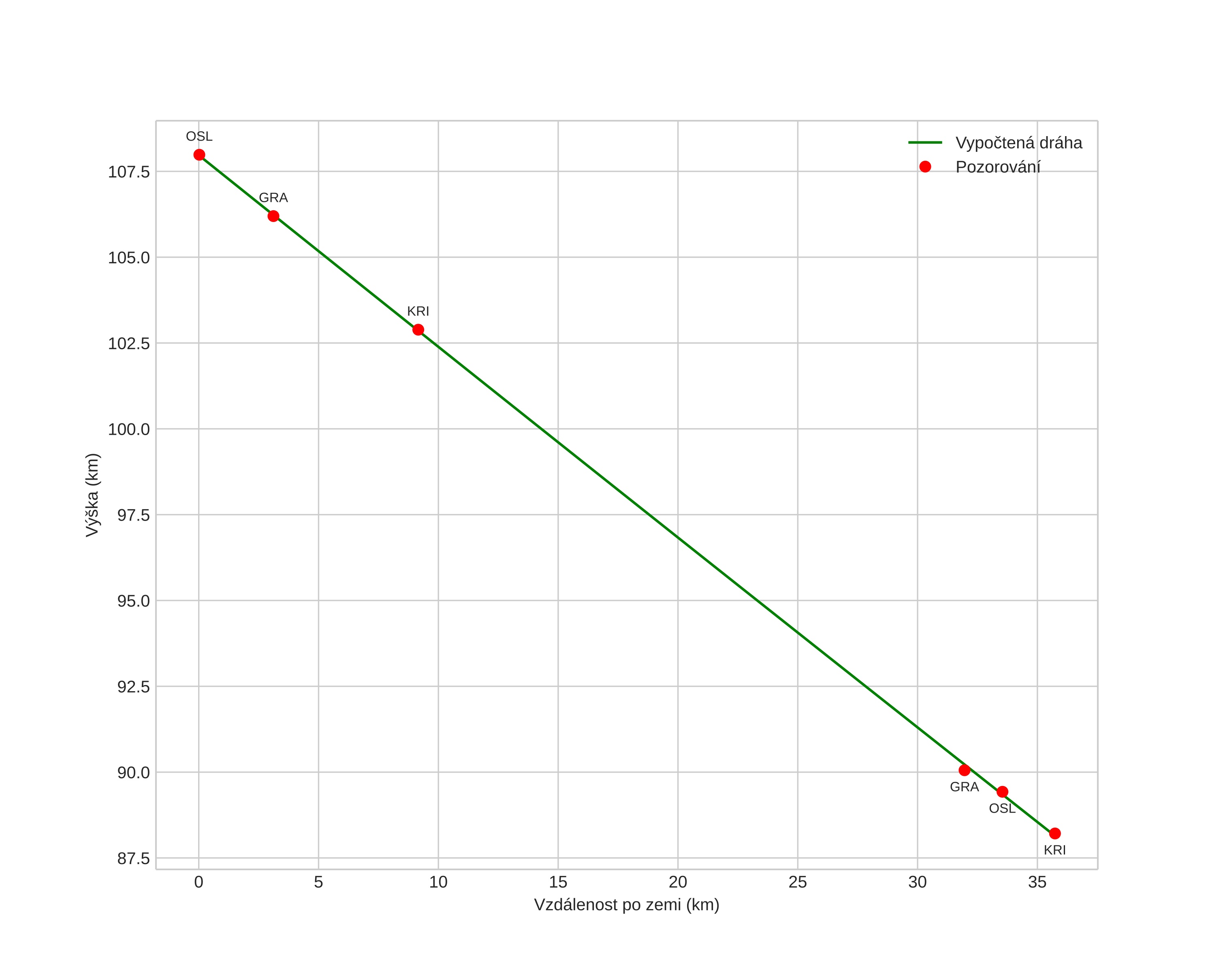
height profile
Atmosférická dráha meteoru:
Počáteční výška: 108,0 km
Konečná výška: 88,2 km
Počáteční poloha: 59,679N 11,672E
Konečná poloha: 59,573N 11,072E
Směr: 251,1°
Sklon: 29,0°
VstupnĂ­ rychlost: 46,0 km/s
Rektascenze radiantu: 18:11 (272,9°)
Deklinace radiantu: 33,5°
MeteorickĂ˝ roj: Lyridy
Elementy dráhy meteoroidu:
Vzdálenost v periheliu: 0,921 AU
Excentricita: 0,795
Sklon dráhy: 77,8°
Délka vzestupného uzlu: 32,0°
Argument perihelia: 215,8°
Střední anomálie: 357,4°
Epocha: 2016 APR 21 21:21:53
orbit plot

NeinteraktivnĂ­ graf | InteraktivnĂ­ graf

position vs time
speed and acceleration