🇳🇴 🇬🇧 🇩🇪 🇨🇿 🇫🇮

Meteor Spydebergin yllä 2016-04-21 21:21:53 UTC

KML-tiedosto  |  Interaktiivinen kartta

Kartta näyttää meteorin suuntahavainnot. Vaaleammat viivat näyttävät suunnat havaintoasemilta meteorin ilmestyessä, ja tummemmat viivat näyttävät, missä se viimeksi nähtiin. Sininen nuoli näyttää meteorin näkyvän lennon.

static map
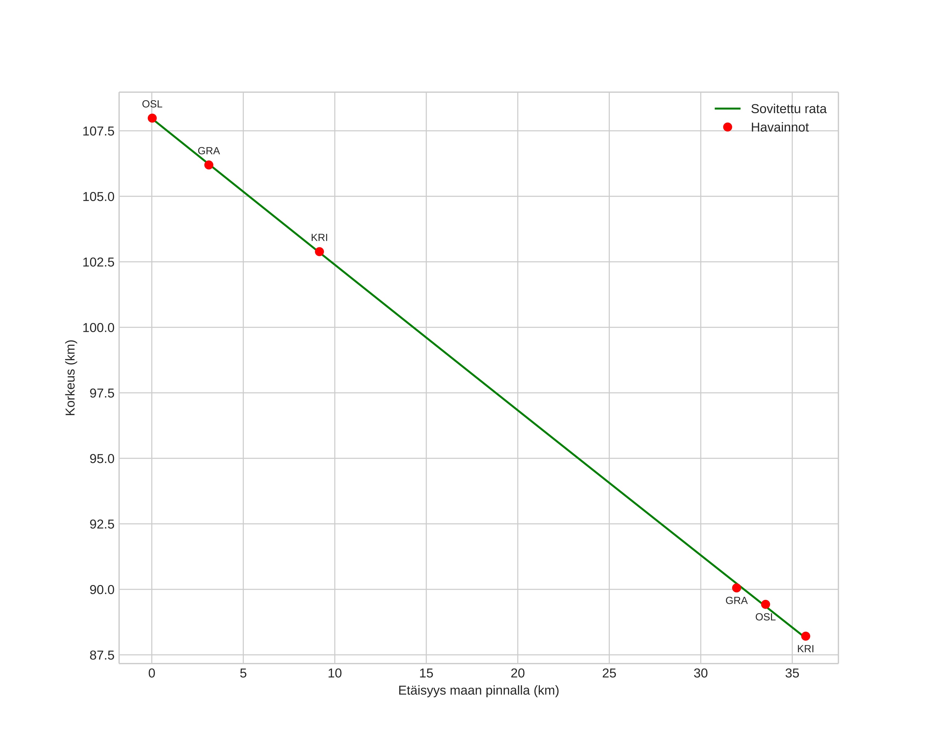
height profile
Meteorin ilmakehärata:
Alkukorkeus: 108,0 km
Loppukorkeus: 88,2 km
Alkupiste: 59,679N 11,672E
Loppupiste: 59,573N 11,072E
Suunta: 251,1°
Kallistuskulma: 29,0°
Tulonopeus: 46,0 km/s
Radiantin R,A,: 18:11 (272,9°)
Radiantin Dekl,: 33,5°
Meteoriparvi: Lyridit
Meteoroidin rataelementit:
Perihelietäisyys: 0,921 AU
Eksentrisyys: 0,795
Inklinaatio: 77,8°
Nousevan solmun pituus: 32,0°
Perihelin argumentti: 215,8°
Keskianomalia: 357,4°
Epookki: 2016 APR 21 21:21:53
orbit plot

Ei-interaktiivinen kuvaaja | Interaktiivinen kuvaaja

position vs time
speed and acceleration