🇳🇴 🇬🇧 🇩🇪 🇨🇿 🇫🇮

Meteor, poloha: Hönö 2016-04-21 23:21:25 UTC

Soubor KML  |  InteraktivnĂ­ mapa

Mapa zobrazuje dráhy meteoru. Světlejší čáry ukazují směry od pozorovacích stanic při objevení se meteoru a tmavší čáry, kde byl naposledy viděn. Modrá šipka značí viditelnou dráhu meteoru.

static map
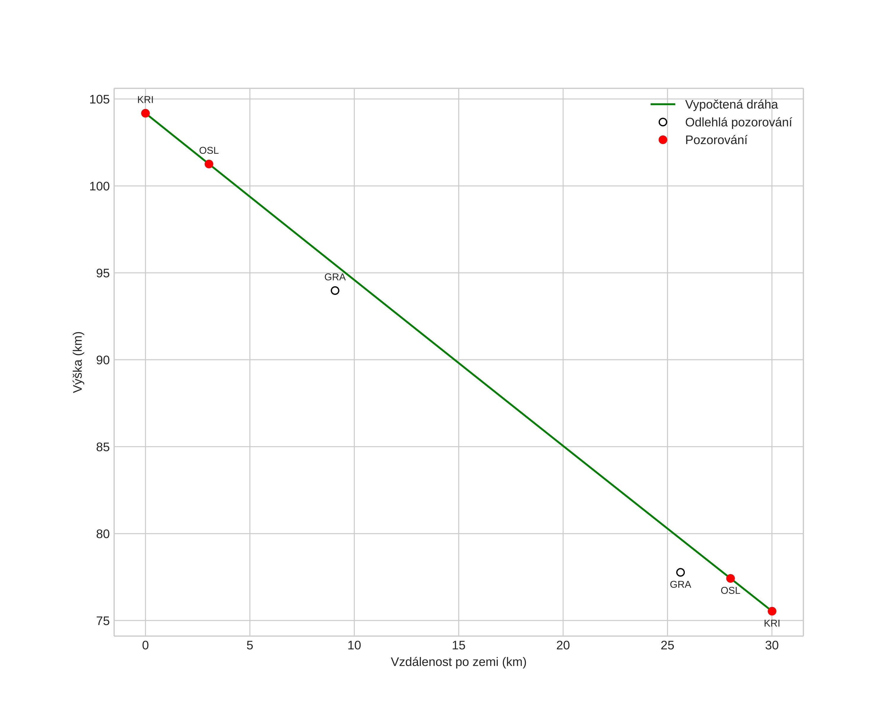
height profile
Atmosférická dráha meteoru:
Počáteční výška: 104,2 km
Konečná výška: 75,5 km
Počáteční poloha: 57,405N 12,013E
Konečná poloha: 57,426N 11,513E
Směr: 274,6°
Sklon: 43,7°
VstupnĂ­ rychlost: 49,4 km/s
Rektascenze radiantu: 18:10 (272,5°)
Deklinace radiantu: 33,0°
MeteorickĂ˝ roj: Lyridy
Elementy dráhy meteoroidu:
Vzdálenost v periheliu: 0,924 AU
Excentricita: 1,020
Sklon dráhy: 81,1°
Délka vzestupného uzlu: 32,1°
Argument perihelia: 212,9°
Střední anomálie: -0,1°
Epocha: 2016 APR 21 23:21:25
orbit plot

NeinteraktivnĂ­ graf | InteraktivnĂ­ graf

position vs time
speed and acceleration