🇳🇴 🇬🇧 🇩🇪 🇨🇿 🇫🇮

Meteor Hönöin yllä 2016-04-21 23:21:25 UTC

KML-tiedosto  |  Interaktiivinen kartta

Kartta näyttää meteorin suuntahavainnot. Vaaleammat viivat näyttävät suunnat havaintoasemilta meteorin ilmestyessä, ja tummemmat viivat näyttävät, missä se viimeksi nähtiin. Sininen nuoli näyttää meteorin näkyvän lennon.

static map
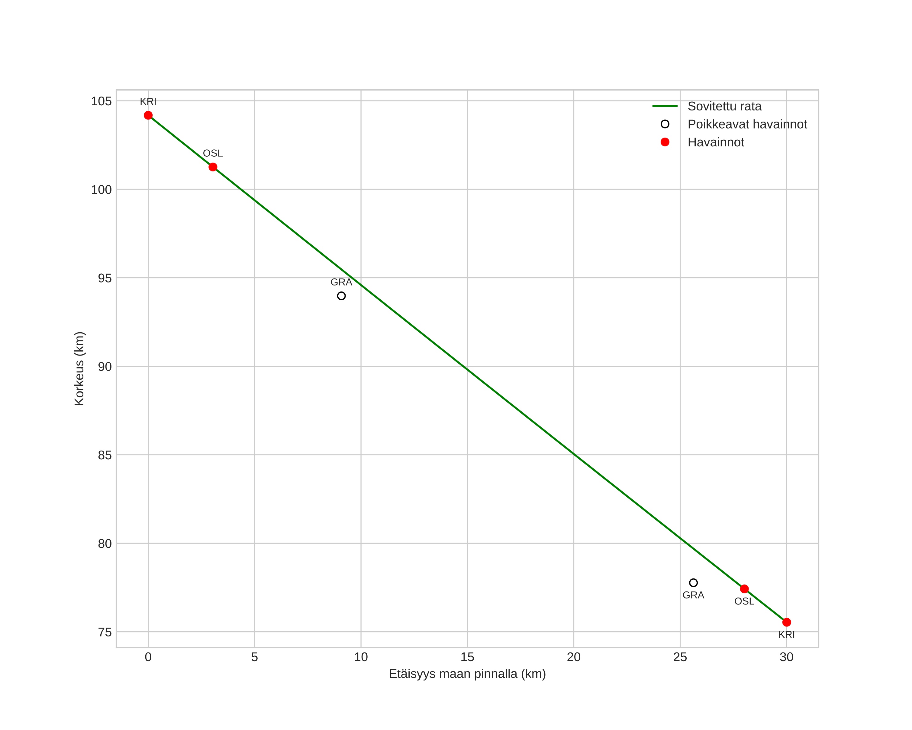
height profile
Meteorin ilmakehärata:
Alkukorkeus: 104,2 km
Loppukorkeus: 75,5 km
Alkupiste: 57,405N 12,013E
Loppupiste: 57,426N 11,513E
Suunta: 274,6°
Kallistuskulma: 43,7°
Tulonopeus: 49,4 km/s
Radiantin R,A,: 18:10 (272,5°)
Radiantin Dekl,: 33,0°
Meteoriparvi: Lyridit
Meteoroidin rataelementit:
Perihelietäisyys: 0,924 AU
Eksentrisyys: 1,020
Inklinaatio: 81,1°
Nousevan solmun pituus: 32,1°
Perihelin argumentti: 212,9°
Keskianomalia: -0,1°
Epookki: 2016 APR 21 23:21:25
orbit plot

Ei-interaktiivinen kuvaaja | Interaktiivinen kuvaaja

position vs time
speed and acceleration